题目列表(包括答案和解析)

 0  54694  54702  54708  54712  54718  54720  54724  54730  54732  54738  54744  54748  54750  54754  54760  54762  54768  54772  54774  54778  54780  54784  54786  54788  54789  54790  54792  54793  54794  54796  54798  54802  54804  54808  54810  54814  54820  54822  54828  54832  54834  54838  54844  54850  54852  54858  54862  54864  54870  54874  54880  54888  447348 

5.(湖北卷理16)已知函数

(Ⅰ)求函数的最小正周期;

(Ⅱ)求函数的最大值,并求使取得最大值的的集合.

试题详情

4.(广东卷文16)设函数,且以为最小正周期.

(1)求

(2)求的解析式;

(3)已知,求的值.w_w

试题详情

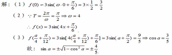
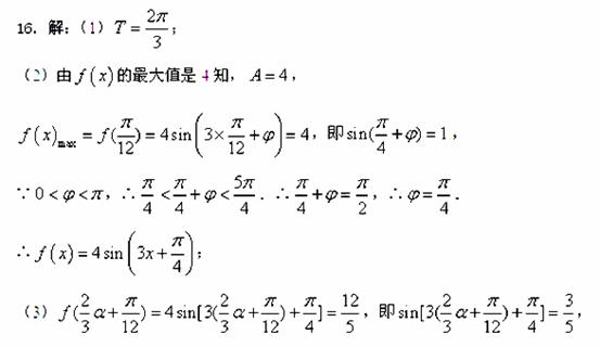
3.(广东卷理16)已知函数时取得最大值4. 

(1) 求的最小正周期;

(2) 求的解析式;

(3) 若(α +)=,求sinα.  

试题详情

2.(北京卷文15)已知函数

(Ⅰ)求的值;

(Ⅱ)求的最大值和最小值

试题详情

1.(北京卷理15)已知函数

(Ⅰ)求的值;

(Ⅱ)求的最大值和最小值。

解析:(I)

(2)

     因为所以当时,取最大值6;当时,取最小值

试题详情

5.(上海春卷1)函数的最小正周期T=_______________。

答案:

解析:由周期公式得

试题详情

4.(浙江卷文12)函数的最小正周期是     。

解析:对解析式进行降幂扩角,转化为,可知其最小正周期为,本题主要考察了二倍角余弦公式的灵活运用,属容易题。

试题详情

3.(浙江卷理11)函数的最小正周期是_________ .

解析:故最小正周期为π,本题主要考察了三角恒等变换及相关公式,属中档题

试题详情

2.(江苏卷10)定义在区间上的函数y=6cosx的图像与y=5tanx的图像的交点为P,过点P作PP1⊥x轴于点P1,直线PP1与y=sinx的图像交于点P2,则线段P1P2的长为_____。

[答案]

 [解析] 考查三角函数的图象、数形结合思想。线段P1P2的长即为sinx的值,

且其中的x满足6cosx=5tanx,解得sinx=。线段P1P2的长为

试题详情

1.(福建卷理14)已知函数的图象的对称轴完全相同。若,则的取值范围是     。

[答案]

[解析]由题意知,,因为,所以,由三角函数图象知:

的最小值为,最大值为,所以的取值范围是

[命题意图]本题考查三角函数的图象与性质,考查了数形结合的数学思想。

试题详情


同步练习册答案