题目列表(包括答案和解析)

 0  99524  99532  99538  99542  99548  99550  99554  99560  99562  99568  99574  99578  99580  99584  99590  99592  99598  99602  99604  99608  99610  99614  99616  99618  99619  99620  99622  99623  99624  99626  99628  99632  99634  99638  99640  99644  99650  99652  99658  99662  99664  99668  99674  99680  99682  99688  99692  99694  99700  99704  99710  99718  447348 

4.从数字1、2、3、4、5中任取两个不同的数字构成一个两位数,则这个两位数大于40的概率为                           (   )

    A.            B.            C.            D.

试题详情

3.5人站成一排,甲乙两人必须站在一起的不同站法有                     (   )

    A.12种          B.24种          C.48种          D.60种

试题详情

2.5.已知直线mn和平面a、b满足mnm⊥aa⊥b,则              (   )

A. nb                              B. nbnb

C. na                              D. nana                 

试题详情

1.已知直线a与平面所成的角为60°,那么a内不过斜足的直线所成的角中,最大的角的是                                 (   )

    A.180°         B.120°         C.90°          D.60°

试题详情

22.(本小题满分14分)

在正四棱柱中,,点E在上,且

⑴证明:平面BED;   ⑵求与平面BED所成的角;⑶求二面角的大小.

试题详情

21.(本小题满分12分)

某体育项目的比赛规则,由三局两胜制改为五局三胜制的新赛制。由以往的经验知,单局比赛甲胜乙的概率为,各局比赛相互之间没有影响。

⑴依以往的经验,在新赛制下,求乙以32获胜的概率;

⑵试用概率知识解释新赛制对谁更有利。

试题详情

20.(本小题满分12分)

在平面直角坐标系xoy中,A、B分别是直线ax+y=2+a与x、y轴正半轴的交点,C为AB中点,若抛物线过点C.

⑴当面积最小时,求抛物线的方程:

⑵在⑴的条件下,设直线AB与抛物线的另一交点为D,求的面积。

试题详情

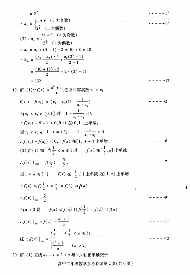
19.(本小题满分12分)

设函数

⑴证明:函数在上单调递减,在上单调递增;

⑵若,求的最大值。

试题详情

18.(本小题满分12分)

一个数列,其奇数项构成公差为2的等差数列,偶数项构成公比为2的等比数列,又,前n项和为.   ⑴求;     ⑵求.

试题详情

17.(本小题满分12分)

已知,且。⑴求的值;   ⑵求.

试题详情


同步练习册答案