题目列表(包括答案和解析)

 0  54673  54681  54687  54691  54697  54699  54703  54709  54711  54717  54723  54727  54729  54733  54739  54741  54747  54751  54753  54757  54759  54763  54765  54767  54768  54769  54771  54772  54773  54775  54777  54781  54783  54787  54789  54793  54799  54801  54807  54811  54813  54817  54823  54829  54831  54837  54841  54843  54849  54853  54859  54867  447348 

8.(湖北卷理17)为了在夏季降温和冬季供暖时减少能源损耗,房屋的屋顶和外墙需要建造隔热层。某幢建筑物要建造可使用20年的隔热层,每厘米厚的隔热层建造成本为6万元。该建筑物每年的能源消耗费用C(单位:万元)与隔热层厚度x(单位:cm)满足关系:C(x)=若不建隔热层,每年能源消耗费用为8万元。设f(x)为隔热层建造费用与20年的能源消耗费用之和。

(Ⅰ)求k的值及f(x)的表达式。

(Ⅱ)隔热层修建多厚时,总费用f(x)达到最小,并求最小值。

试题详情

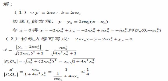
7.(广东卷文21)已知曲线,点是曲线上的点(n=1,2,…).

(1)试写出曲线在点处的切线的方程,并求出轴的交点的坐标;

(2)若原点的距离与线段的长度之比取得最大值,试求试点的坐标

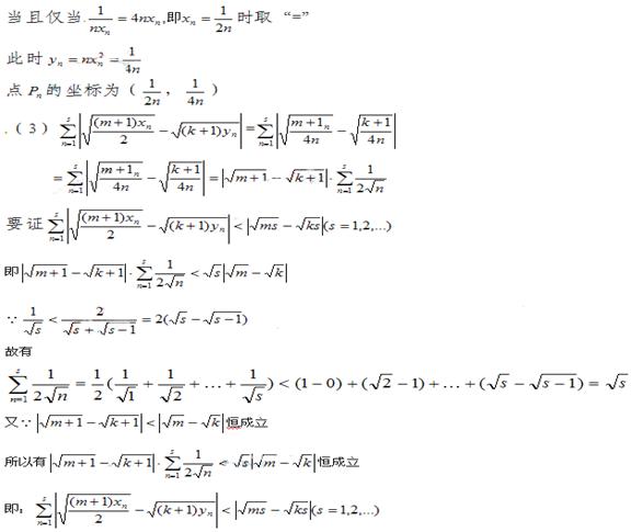
(3)设为两个给定的不同的正整数,是满足(2)中条件的点的坐标,

证明:

试题详情

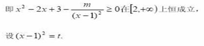
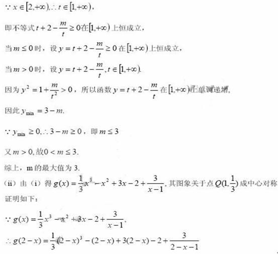
6.(福建卷文22)已知函数的图像在点P(0,f(0))处的切线方程为.

(Ⅰ)求实数a,b的值;

(Ⅱ)设上的增函数.

   (ⅰ)求实数m的最大值;

   (ⅱ)当m取最大值时,是否存在点Q,使得过点Q的直线能与曲线围成两个封闭图形,则这两个封闭图形的面积总相等?若存在,求出点Q的坐标;若不存在,说明理由.

试题详情

5.(福建卷理20)

(Ⅰ)已知函数,其图象记为曲线

(ⅰ)求函数的单调区间;

(ⅱ)证明:若对于任意非零实数,曲线与其在点处的切线交于另一点,曲线与其在点处的切线交于另一点,线段与曲线所围成封闭图形的面积分别记为S1,S2,则为定值;

(Ⅱ)对于一般的三次函数,请给出类似于(Ⅰ)(ii)的正确命题,并予以证明。

[命题意图]本小题主要考查函数、导数、定积分等基础知识,考查抽象概括能力、运算求解能力、推理论证能力,考查函数与方程思想、数形结合思想、化归与转化思想、特殊与一般思想。

[解析](Ⅰ)(i)由=

时,

时,

因此,的单调递增区间为,单调递减区间为

(ii)曲线C与其在点处的切线方程为

,解得,进而有

,用代替,重复上述计算过程,可得

,又,所以

因此有

(Ⅱ)记函数的图象为曲线,类似于(Ⅰ)(ii)的正确命题为:若对任意不等式的实数,曲线与其在点处的切线交于另一点

,曲线C与其在点处的切线交于另一点,线段

证明如下:

因为平移变换不改变面积的大小,故可将曲线的对称中心平移至坐标原点,因而不妨设,类似(i)(ii)的计算可得

试题详情

4.(北京卷文18)设定函数,且方程的两个根分别为1,4。

(Ⅰ)当a=3且曲线过原点时,求的解析式;

(Ⅱ)若无极值点,求a的取值范围。

试题详情

3.(北京卷理18)已知函数()=In(1+)-+(≥0)。

(Ⅰ)当=2时,求曲线=()在点(1,(1))处的切线方程;

(Ⅱ)求()的单调区间。

解:(I)当时,

由于所以曲线处的切线方程为

。即

(II)  当时,

   因此在区间上,;在区间上,

   所以的单调递增区间为,单调递减区间为

   当时,,得;

   因此,在区间上,;在区间上,

   即函数 的单调递增区间为,单调递减区间为

   当时,.的递增区间为

   当时,由,得

   因此,在区间上,,在区间上,

   即函数 的单调递增区间为,单调递减区间为

试题详情

2.(安徽卷文20)设函数,求函数的单调区间与极值。

[命题意图]本题考查导数的运算,利用导数研究函数的单调性与极值的方法,考查综合应用数学知识解决问题的能力.

[解题指导](1)对函数求导,对导函数用辅助角公式变形,利用导数等于0得极值点,通过列表的方法考查极值点的两侧导数的正负,判断区间的单调性,求极值.

[思维总结]对于函数解答题,一般情况下都是利用导数来研究单调性或极值,利用导数为0得可能的极值点,通过列表得每个区间导数的正负判断函数的单调性,进而得出极值点.

试题详情

1.(安徽卷理17)设为实数,函数

   (Ⅰ)求的单调区间与极值;

(Ⅱ)求证:当时,

试题详情

4.(浙江卷文16)某商家一月份至五月份累计销售额达3860万元,预测六月份销售额为500万元,七月份销售额比六月份递增x%,八月份销售额比七月份递增x%,九、十月份销售总额与七、八月份销售总额相等,若一月至十月份销售总额至少至少达7000万元,则,x 的最小值    。

解析:20;依题意,化简得,所以

[命题意图]本题主要考察了用一元二次不等式解决实际问题的能力,属中档题

试题详情

3.(上海卷文9)函数的反函数的图像与轴的交点坐标是   。

解析:考查反函数相关概念、性质

法一:函数的反函数为,另x=0,有y=-2

法二:函数图像与x轴交点为(-2,0),利用对称性可知,函数的反函数的图像与轴的交点为(0,-2)

试题详情


同步练习册答案