题目列表(包括答案和解析)

 0  56974  56982  56988  56992  56998  57000  57004  57010  57012  57018  57024  57028  57030  57034  57040  57042  57048  57052  57054  57058  57060  57064  57066  57068  57069  57070  57072  57073  57074  57076  57078  57082  57084  57088  57090  57094  57100  57102  57108  57112  57114  57118  57124  57130  57132  57138  57142  57144  57150  57154  57160  57168  447348 

7. 对任意实数函数的图象都不经过点

的轨迹是(  )

A.两条平行直线    B. 四条除去顶点的射线

  C. 两条抛物线      D. 两条除去顶点的抛物线 

试题详情

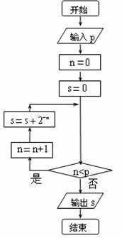
6.执行如图的程序框图,如果输入,则输出的(   )

A.   B.    C.   D.  

试题详情

5. 设变量满足约束条件,则目标函数的取值范围为(  )

A.  B.   C.    D.

试题详情

4.在同一平面直角坐标系中,画出函数

的部分图像如下,则(  )

A.

B.

C.  

D.

试题详情

3.一个几何体的三视图如图所示,那么此几何

  体的表面积为 

   A.144    B.124   C.104   D.84

试题详情

2.已知为虚数单位, 则复数的虚部为(    )

A. 0       B.      C. 1     D.

试题详情

1. 已知集合M={x|x2<4,N={x|x2-2x-3<0,则集合MN=(   )

A.{x|x<-2   B.{x|x>3}    C.{x|-1<x<2  D.{x|2<x<3

试题详情

21.(本小题满分14分)

已知动点P到轴的距离等于P到圆的切线长,设点P的轨迹为曲线E;

(1)求曲线E的方程;

(2)试求出定点, 使得过点任作一直线与轨迹E交于两点时,都有

为定值。

试题详情

20.(本小题满分13分)

(1)设,求的单调区间;

(2)若不等式对任意恒成立,求的取值范围。

试题详情

19.(本小题满分12分)

如图,四棱锥P-ABCD中,AD∥BC,∠ADC=

PC⊥平面ABCD,点E、F分别为AB、PB中点。AC⊥DE,

其中AD=1,PC=2,CD=

(1)    EF∥平面PAC;

(2)    求点B到平面PDE的距离。

试题详情


同步练习册答案