题目列表(包括答案和解析)

 0  56972  56980  56986  56990  56996  56998  57002  57008  57010  57016  57022  57026  57028  57032  57038  57040  57046  57050  57052  57056  57058  57062  57064  57066  57067  57068  57070  57071  57072  57074  57076  57080  57082  57086  57088  57092  57098  57100  57106  57110  57112  57116  57122  57128  57130  57136  57140  57142  57148  57152  57158  57166  447348 

8.已知双曲线的准线过椭圆的焦点, 则直线与椭圆至少有一个交点的充要条件为(    )

A.    B.

C.      D.

试题详情

7.已知是平面,是直线,下列命题中不正确的是(   )

A.若,则       B.若,则

C.若,则       D.若,则

试题详情

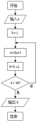
6.按如图所示的程序框图运算,若输出,则输入的的取值范围是(   )

A.   B.(6,19   C.    D.(6,19)

试题详情

5.各项都是正数的等比数列中,且成等差数列,

的值为(   )

A.   B.   C.   D.

试题详情

4.设表示中的较大者,则的最小值为(   )

A.0   B.2    C.    D.不存在

试题详情

3.若函数,下列结论中正确的是(    )

A. 函数为偶函数       B.函数最小正周期为    

 C. 函数的图象关于原点对称  D.函数的最大值为

试题详情

2.设集合,则集合等于(   )

A. B.  C.  D.

试题详情

1.复数,则在复平面内对应点位于(   )

A.第一象限   B.第二象限   C.第三象限   D.第四象限

试题详情

21.(本小题满分14分)

设函数,函数有唯一的零点,其中实数为常数,

(Ⅰ)求的表达式;(Ⅱ)求的值;

(Ⅲ)若,求证:

试题详情

20.(本小题满分13分)

设点(为正常数),点轴的负半轴上,点轴上,且.

  (Ⅰ)当点轴上运动时,求点的轨迹的方程;

(Ⅱ)直线过点且与曲线相交于不同两点,分别过点作直线的垂线,对应的垂足分别为,求的值;

(Ⅲ)在(Ⅱ)的条件下,记,求的值.

试题详情


同步练习册答案