题目列表(包括答案和解析)

 0  96854  96862  96868  96872  96878  96880  96884  96890  96892  96898  96904  96908  96910  96914  96920  96922  96928  96932  96934  96938  96940  96944  96946  96948  96949  96950  96952  96953  96954  96956  96958  96962  96964  96968  96970  96974  96980  96982  96988  96992  96994  96998  97004  97010  97012  97018  97022  97024  97030  97034  97040  97048  447348 

20.解:由题意知,, 且

       

函数

    把代入上式得,

   

解得:

 函数解析式是

试题详情

18.解:

    

(1)

(2)

试题详情

17.(1)解:原式=

  =

(2)证明:

试题详情

13、等腰梯形    14、  15、  (1)(3)   16 、-2  

试题详情

22.据市场调查,某种商品一年内每件出厂价在6千元的基础上,按月呈f(x)=Asin(ωx+φ)+B的模型波动(x为月份),已知3月份达到最高价8千元,7月份价格最低为4千元,该商品每件的售价为g(x)(x为月份),且满足g(x)=f(x-2)+2.

(1)分别写出该商品每件的出厂价函数f(x)、售价函数g(x)的解析式;

(2)问哪几个月能盈利?

2010--2011学年第二学期罗源一中第二次月考

高一数学科答案

一.    选择题

1B    2B    3D    4B    5 B    6C

7A    8A    9D    10A    11C     12C

二.    填空题

试题详情

21.(14分)已知函数

  (1)求函数的最小正周期和最大值;

  (2)求函数的增区间;

  (3)函数的图象可以由函数的图象经过怎样的变换得到?

试题详情

20.(13分)函数的图象上相邻的最高点与最低点的坐标分别为M(,求此函数的解析式。

试题详情

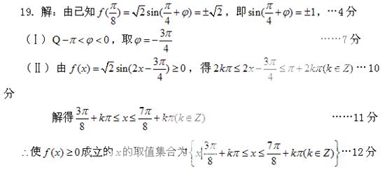
19. (12分) 已知关于的函数的一条对称轴是

(Ⅰ) 求的值; 

(Ⅱ) 求使成立的的取值集合.

试题详情

18.(12分)求证已知

  ①求的值 ②求的值

试题详情

17.(1)求值:

(2)求证:

试题详情


同步练习册答案