0  174265  174273  174279  174283  174289  174291  174295  174301  174303  174309  174315  174319  174321  174325  174331  174333  174339  174343  174345  174349  174351  174355  174357  174359  174360  174361  174363  174364  174365  174367  174369  174373  174375  174379  174381  174385  174391  174393  174399  174403  174405  174409  174415  174421  174423  174429  174433  174435  174441  174445  174451  174459  447090 

6.下列各项内容中,排列顺序正确的是                                 (   )

① 固体的热稳定性:Na2CO3>CaCO3>NaHCO3

② 相同物质的量浓度的下列溶液中NH4+ 的浓度:(NH4)2SO4>(NH4)2CO3>NH4Cl

③ 微粒半径:K+>S2>F

④ 给出质子的能力:CH3COOH>C2H5OH>H2O

⑤ 氢化物的沸点:H2Se>H2S>H2O

A.①③         B.②④      C.①②         D.③⑤

试题详情

5.在指定环境中,下列各组离子一定可以大量共存的是                     (   )

A.使pH试纸呈红色的溶液:Fe2+、NO3、SO42、Na+

B.使无色酚酞试液显红色的溶液:S2、K+、HCO3、AlO2

C.在加入铝粉放出氢气的溶液:Na+、Cl、NH4+、NO3

D.在c(H+)/c(OH) = 1×1013的溶液:NH4+、Mg2+、C1、K+

试题详情

4.下列实验操作或对实验事实的叙述正确的是                            (   )

A.配制浓硫酸和浓硝酸的混合酸时,将浓硫酸沿器壁慢慢加入到浓硝酸中,并不断搅拌

B.常温时,用pH试纸测得0.1 mol·L1碳酸钠溶液的pH=7

C.如果皮肤上不慎沾有苯酚,应立即用大量的NaOH稀溶液冲洗

D.向沸腾的NaOH稀溶液中滴加FeCl3饱和溶液,以制备Fe(OH)3胶体

试题详情

3.设NA为阿伏加德罗常数,下列叙述中错误的是                         (   )

A.在标准状况下,22.4L空气中约有NA个气体分子

B.在含4molSi-O键的石英晶体中,氧原子的数目为2NA

C.28g乙烯和28g丙烯中均含有6NA对共用电子对

D.含NA个氧原子的O2与含NA个氧原子的O3的质量之比为2︰3

试题详情

2.下列文字表述与反应方程式对应且正确的是                            (   )

A.氧化铁溶于氢碘酸:Fe2O3+6H+  = 2Fe3++3H2O

B.等物质的量的KHCO3和Ba(OH)2的溶液混合:HCO3+ Ba2++OH = BaCO3↓ + H2O

C.NaHSO3溶液显酸性的原因是:HSO3   SO32 +  H+

D.硫化钠水溶液呈碱性的原因是:S2 + 2H2O  H2S + 2OH

试题详情

1.据《自然》杂志报道,在300-400℃的高温下,将砂糖(主要成分为蔗糖)等碳水化合物用加热的方法使其形成焦糖与碳之间的“半成品碳”状态,再放进硫酸溶液中高温加热,生成了一种叫“焦糖烯”的物质,其分子式为C36H50O25。下列有关说法正确的是 (   )

A.“半成品碳”在硫酸溶液中加热可能发生的是消去反应

B.“半成品碳”是碳元素的一种新单质

C.蔗糖溶液与新制的氢氧化铜悬浊液混合加热有砖红色沉淀生成

D.焦糖烯是一种新型的烯烃

试题详情

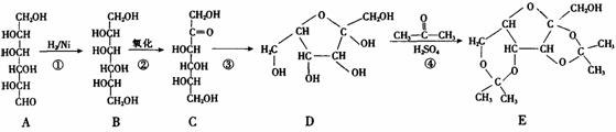
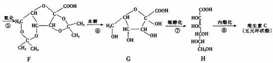
29.(12分)维生素C(分子式为C6H8O6)可预防感染、坏血病等。其工业合成路线如下图所示:

I.(1)上述①-③反应中,属于加成反应的有     (填数字序号)。

  (2)A-G七种物质中与C互为同分异构体的有     (填字母序号)。

(3)比较D和G的结构可知,G可看成由D通过氧化得到。工业生产中在第⑤步氧化的前后设计④和⑥两步的目的是    

  (4)维生素C的结构简式是    

Ⅱ.已知,,假设酸性条件下,上述步骤⑥的水解比酯的水解容易的多,

利用本题中的信息,设计合理方案由

(用反应流程图表示,并注明反应条件)。                

例:由乙醇合成聚乙烯的反应流程图可表示为

试题详情

28.(12分)已知A为常见金属,X、Y为常见非金属,X、E、F、G常温下为气体,C为液体,B是一种盐,受热极易分解,在工农业生产中用途较广(如被用作某些电池的电解质)。现用A与石墨作电极,B的浓溶液作电解质,构成原电池。有关物质之间的转化关系如下图:

(注意:其中有些反应的条件及部分生成物被略去)

请填写下列空白:

(1)B的电子式___________,B中含有的化学键有_______________________________。

(2)反应④为A在某种气体中燃烧,生成单质Y和A的氧化物,其反应方程式为      

   (3)从D溶液制备D的无水晶体的 “操作a”为           

   (4)反应⑤的化学方程式为                     

   (5)原电池反应①中正极的电极反应式为              

试题详情

27.(18分)A、B、C、D是常见不同主族的短周期元素,它们的原子序数逐渐增大,其中只有一种是金属元素,C元素原子最外层电子数是D元素原子最外层电子数的一半,B元素原子的最外层电子数比D的少两个。E也是短周期元素,与D同主族。

(1)D 和E分别与A形成的化合物中沸点较高的是(填化学式)     其原因是     

(2)一定条件下由D和E形成的1mol化合物与E单质反应生成l mol气态产物,放出98.3 kJ的热量,则该反应的热化学方程式是:               

(3)五种元素中的三种组成的易溶于水的物质中,能促进水电离的物质M是   (写化学式,写一个即可,下同),能抑制水电离的物质N是     。25℃时,pH=a的M溶液中水电离出的H+浓度与pH=a的N溶液中水电离出的H+浓度之比为        。 

(4)甲、乙、丙分别是B、C、D三种元素最高价含氧酸的钠盐,甲、乙都能与丙发生反应,且丙用量不同,反应的产物不同。回答问题:

①向丙溶液中缓慢滴加过量的乙溶液过程中发生反应的离子方程式      

②向甲溶液中缓慢滴加等物质的量的丙溶液后,所得溶液中离子浓度由大到小的顺序为   

试题详情

26.(16分)资料显示;“氨气可在纯氧中安静燃烧……。”某校化学小组学生设计如下装置(图中铁夹等夹持装置已略去)进行氨气与氧气在不同条件下反应的实验。

(1)用装置A制取纯净、干燥的氨气,大试管内碳酸盐的化学式是       ;碱石灰的作用是                          

(2)将产生的氨气与过量的氧气通到装置B(催化剂为铂石棉)中,用酒精喷灯加热:

①氨催化氧化的化学方程式是              ;试管内气体变为红棕色,该反应的化学方程式是                    

②停止反应后,立即关闭B中两个活塞。一段时间后,将试管浸入冰水中,试管内气体颜色变浅,请结合化学方程式说明原因                

(3)将过量的氧气与A产生的氨气分别从a、b两管进气口通入到装置C中,并在b管上端点燃氨气:

①两气体通入的先后顺序是       ,其理由是       

②氨气燃烧的化学方程式是               

试题详情


同步练习册答案