题目列表(包括答案和解析)

 0  50709  50717  50723  50727  50733  50735  50739  50745  50747  50753  50759  50763  50765  50769  50775  50777  50783  50787  50789  50793  50795  50799  50801  50803  50804  50805  50807  50808  50809  50811  50813  50817  50819  50823  50825  50829  50835  50837  50843  50847  50849  50853  50859  50865  50867  50873  50877  50879  50885  50889  50895  50903  447348 

5.某交往式计算机有20个终端,这些终端由各个单位独立操作,使用率均为0.8,则个终端中至少有一个没有使用的概率为

    (A)0.2 20(B)0.8 20(C)1一0.820(D)1-0.2 20

  6.已知∆ABC中,|AB|=3,|CA|=4,且|AB||CA|=-6,则∆ABC的面积是(  )

   (A)  6  (B) 3   (C) 3  (D)

试题详情

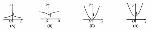
4.函数的大致图象是(  )

试题详情

3.已知正项等比数列{an}中,a2·as·a8=64,a3=2,则数列{an}的公比为

  

试题详情

2.已知Slnα=-,则sin2α的值为(  )

试题详情

一定位置上.

1.若集合A={一1,0,1},集合B={1,2,3},则集合AUB应表示为

(A){1}        (B){一1,0}

(C){0,1,2,3}    (D){0,一1,1,2,3}

试题详情

4、解:(1)由题意可知当

   每件产品的销售价格为         

∴2004年的利润

            

   (2)

   (万元)答:(略)

试题详情

4、某厂家拟在2004年举行促销活动,经调查测算,该产品的年销售量(即该厂的年产量)x万件与年促销费用m万元()(k为常数),如果不搞促销活动,则该产品的年销售量只能是1万件。已知2004年生产该产品的固定投入为8万元,每生产1万件该产品需要再投入16万元,厂家将每件产品的销售价格定为每件产品年平均成本的1.5倍(产品成本包括固定投入和再投入两部分资金)。

   (1)将2004年该产品的利润y万元表示为年促销费用m万元的函数;

(2)      该厂家2004年的促销费用投入多少万元时,厂家的利润最大?

试题详情

3、(1)用x=2代入原方程得 

(2),则原不等式化为,

解之得,即解集为

试题详情

3、已知关于x的方程有一根是2.

(1)      求实数a的值;(2)若,求不等式的解集.

试题详情

2、解:由题

(1)

(2)

 ∴ 当时,

试题详情


同步练习册答案