题目列表(包括答案和解析)

 0  50711  50719  50725  50729  50735  50737  50741  50747  50749  50755  50761  50765  50767  50771  50777  50779  50785  50789  50791  50795  50797  50801  50803  50805  50806  50807  50809  50810  50811  50813  50815  50819  50821  50825  50827  50831  50837  50839  50845  50849  50851  50855  50861  50867  50869  50875  50879  50881  50887  50891  50897  50905  447348 

5.某交往式计算机有20个终端,这些终端由各个单位独立操作,使用率均为0.8,则个终端中至少有一个没有使用的概率为

    (A)0.2 20(B)0.8 20(C)1一0.820(D)1-0.2 20

试题详情

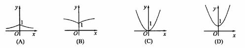
4.函数的大致图象是(  )

试题详情

3.已知正项等比数列{an}中,a2·as·a8=64,a3=2,则数列{an}的公比为

  

试题详情

2.已知Slnα=-,则sin2α的值为(  )

试题详情

1.若集合A={一1,0,1},集合B={1,2,3},则集合AUB应表示为

(A){1}        (B){一1,0}

(C){0,1,2,3}    (D){0,一1,1,2,3}

试题详情

22.(共13分)

设向量,且 y∈R.

(I)求点p(x,y)的轨迹C的方程;

(Ⅱ)过点M(0, 3)作直线ι与曲线C交于A、B两点,设,问是否存在直线ι使四边形OANB为矩形?若存在,求出直线ι的方程;若不存在,请说明理由.

试题详情

21.(共13分)

   已知等差数列{an}中,al=l,公差d>0,且a2.a5.a14分别是等比数列{bn}的第二项、第三项、第四项.

   (I)求数列{an}、(bn}的通项an bn

   (Ⅱ)设数列{cn}对任意的n∈N*,均有成立,求Cl +c2+…+C2005的值.

试题详情

20.(共12分)

  已知函数f(t)=log2t,t∈[,8].

  (Ⅰ)求f(t)的值域G;

  (Ⅱ)若对于G内的所有实数x,不等式恒成立,求实数m的取值范围.

试题详情

19.(共12分)

   如图,直四棱柱ABCD-A1 B1 C1 D1中,底面ABCD是等腰梯形,AB∥ CD, AB = 2AD=2DC=2,E为BD1的中点,F为AB的中点.

  (I)求证:EF∥平面ADD1A1

  (Ⅱ)建立空间直角坐标系D-xyz (DG是AB边上的高),若BB1=求A1F与平面DEF所成的角的大小.

 

试题详情

18.(共10分)

一纸箱中放有除颜色外,其余完全相同的黑球和白球,其中黑球2个,白球3个.

(Ⅰ)从中同时摸出两个球,求两球颜色恰好相同的概率;

(Ⅱ)从中摸出一个球,放回后再摸出一个球,求两球颜色恰好不同的概率.

试题详情


同步练习册答案