题目列表(包括答案和解析)

 0  50710  50718  50724  50728  50734  50736  50740  50746  50748  50754  50760  50764  50766  50770  50776  50778  50784  50788  50790  50794  50796  50800  50802  50804  50805  50806  50808  50809  50810  50812  50814  50818  50820  50824  50826  50830  50836  50838  50844  50848  50850  50854  50860  50866  50868  50874  50878  50880  50886  50890  50896  50904  447348 

解答应写出文字说明、证明过程或推演步骤.

17.(共10分)

已知函数f (x) =sin(x+ 6)+sin(x+)+cosx+a,(a∈R ,a为常数)

(I)求函数f(x)的最小正周期;

(Ⅱ)若函数f(x)在()上的最小值为一1,求实数a的值。

试题详情

16.给出以下命题:①已知命题p、q,若“p或q”为真, “p且q”为假;②已知平面α、β均垂直于平面γ,α∩γ=a,β∪γ=b,则α⊥β的充要条件是a⊥b,③若函数f(x)为偶函数,则必有f(一x)=f(x)=f(|x|)恒成立.

其中正确命题的番号是     

试题详情

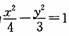
15.双曲线按向量m平移后的双曲线方程为,则平移向量m=      

试题详情

14.直线被圆(x-1)2+(y+2)2=4所截得的弦长为      

试题详情

把答案填在题中横线上.

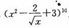
13. 展开式中各项系数之和为       

试题详情

12.若一系列函数的解析式相同,值域相同,但定义域不同,则称这些函数为“孪生函数”,那么函数解析式为y=2x2+1,值域为{5,19}的“孪生函数”共有(  )

    (A) 10个 (B) 9个 (C) 8个 (D)7个

          第Ⅱ卷(非选择题,共90分)

试题详情

11.已知抛物线y2=4x及点A(l,l),若过点A的直线被此抛物线截得的弦PQ恰以A为中点,则直线PQ的方程为( )

    (A)4x-y一3=0  (B)2x一y+1=0

(C)4x-y十3=0  (D)2x-y一1=0

试题详情

10.下列不等式中解集为实数集R的是( )

   (A) x2+4x+4>0(B)>0

   (C) (D)x2-x+1>0

试题详情

8.若直线a∥平面α,则直线a与平面α内的直线的关系是

   (A)平面a内有且仅有一条直线与α平行

  (B)平面a内任意一条直线与直线α平行

   (C)平面a内与直线a共面的直线与直线α平行

   (D)以上都不对刀牙

  9.如图,P为正方体AC1的底面ABCD内任意一点,若A1P与棱AA、AB、AD所成的角分别为α、β、γ,则 sinα+sinβ+ sinγ的值为(  )

    (A) 2   (B)1  

 (C)0  (D)随P的变化而变化

试题详情

7.已知椭圆的方程为2x2+3y2=m(m>0),则此椭圆的离心率为

   (  )

   A、  B、 C、  D、

试题详情


同步练习册答案