题目列表(包括答案和解析)

 0  52746  52754  52760  52764  52770  52772  52776  52782  52784  52790  52796  52800  52802  52806  52812  52814  52820  52824  52826  52830  52832  52836  52838  52840  52841  52842  52844  52845  52846  52848  52850  52854  52856  52860  52862  52866  52872  52874  52880  52884  52886  52890  52896  52902  52904  52910  52914  52916  52922  52926  52932  52940  447348 

7、如图(1)是某县参加2007年高考的学生身高条形统计图,从左到右的各条形表示的学生人数依次记为(如表示身高(单位:cm)在[150,155]内的学生人数。图(2)是统计图(1)中身高在一定范围内学生人数的一个算法流程图。现要统计身高在160-180cm(含160cm,不含180cm)的学生人数,那么在流程图中的判断框内应填写的条件是(   )

   A、     B、     C、       D、

试题详情

6、是圆上任意一点,若不等式恒成立,则c的取值范围是(   )

   A、         B、

   C、            D、

试题详情

5、函数在区间内的图象是(   )

试题详情

4、若函数,则等于(   )

   A、        B、       C、2       D、

试题详情

3、已知直线平面,直线平面,有下面四个命题,其中正确命题是(   )

   ①;②;③;④

   A、①与②      B、①与③      C、②与④    D、③与④

试题详情

2、设集合,那么“”是“”的(  )

   A、充分而不必要条件       B、必要而不充分条件

   C、充要条件           D、既不充分也不必要条件

试题详情

1、化简复数得(   )

   A、      B、      C、     D、

试题详情

20.(本小题满分13分)

已知函数数列满足条件:

(I)求数列的通项公式;

(Ⅱ)求数列的前项,并求使得对任意都成立的最大正整数m;

(Ⅲ)求证:

本资料由《七彩教育网》 提供!

试题详情

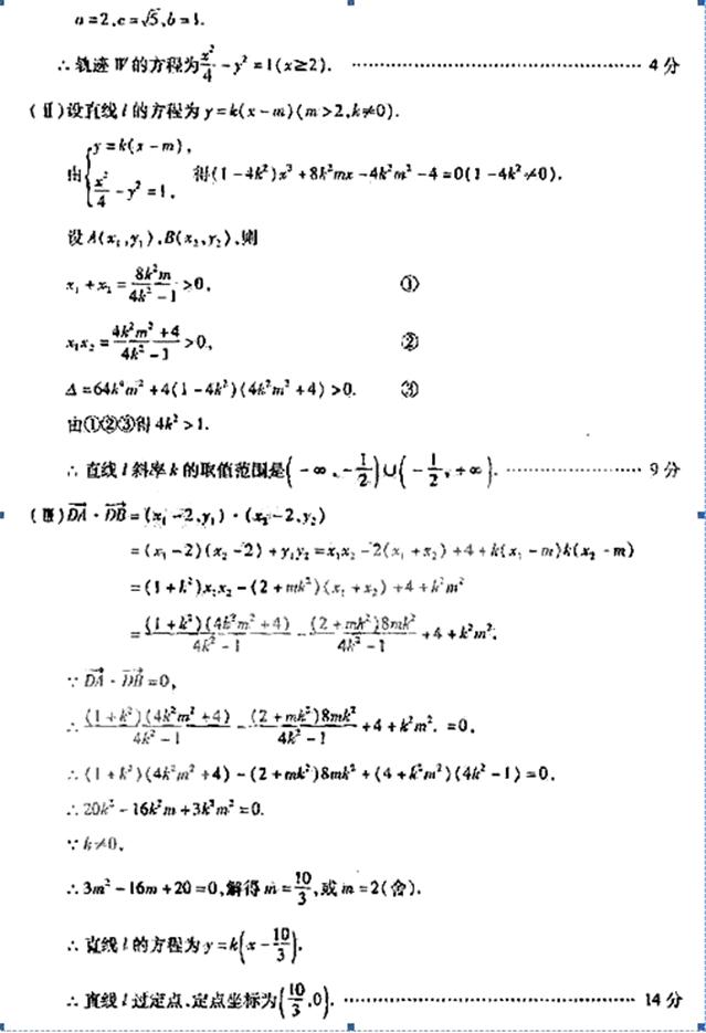
19.(本小题满分14分)

已知动圆过点并且与圆想外切,动圆圆心的轨迹为,轨迹轴的交点为D

(I)求轨迹的方程;

(Ⅱ)设直线过点且与轨迹有两个不同的交点求直线的斜率的取值范围;

(Ⅲ)在(Ⅱ)的条件下,若,证明直线过定点,并求出这个定点的坐标。

试题详情

①按“单打、双打、单打”顺序进行三盘比赛;

②代表队中每名队员至少参加一盘比赛,但不得参加两盘单打比赛;

③先胜两盘的队获胜,比赛结束,已知每盘比赛双方胜出的概率均为

(I)根据比赛规则,高三(1)班代表队共可排出多少种不同的出场阵容?

(Ⅱ)高三(1)班代表队连胜两盘的概率为多少?

(Ⅲ)设高三(1)班代表队获胜的盘数为,求的分布列和数学期望。

18.(本小题满分13分)

已知函数

(I)若曲线在点P处的切线垂直于轴,求实数的值;

(Ⅱ)当时,求函数的最大值和最小值。

试题详情


同步练习册答案