题目列表(包括答案和解析)

 0  54404  54412  54418  54422  54428  54430  54434  54440  54442  54448  54454  54458  54460  54464  54470  54472  54478  54482  54484  54488  54490  54494  54496  54498  54499  54500  54502  54503  54504  54506  54508  54512  54514  54518  54520  54524  54530  54532  54538  54542  54544  54548  54554  54560  54562  54568  54572  54574  54580  54584  54590  54598  447348 

4.i是虚数单位,等于

A.i     B.-i    C.1    D.-1

试题详情

3.若一个底面是正三角形的三棱柱的正规视图如图所示,则其侧面积等于

A.    B.2      C.     D.6

试题详情

2.计算的结果等于

A.    B.     C.     D.

试题详情

1.若集合,则等于

A.   B.   C.  D.

试题详情

21、(本小题满分14分)

已知函数f(x)=,g(x)=alnx,aR。

(Ⅰ)若曲线y=f(x)与曲线y=g(x)相交,且在交点处有相同的切线,求a的值及该切线的方程;

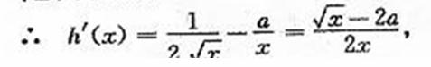
(Ⅱ)设函数h(x)=f(x)- g(x),当h(x)存在最小之时,求其最小值(a)的解析式;

(Ⅲ)对(2)中的(a)和任意的,证明:

解 (Ⅰ)f’(x)=,g’(x)=(x>0),

由已知得  =alnx,

=,   解德a=,x=e2,

两条曲线交点的坐标为(e2,e)  切线的斜率为k=f’(e2)= ,

切线的方程为y-e=(x- e2).

(Ⅱ)由条件知

(1)    当a.>0时,令h (x)=0,解得x=,

所以当0 < x< h (x)<0,h(x)在(0,)上递减;

x>时,h (x)>0,h(x)在(0,)上递增。

所以x>h(x)在(0, +∞ )上的唯一极致点,且是极小值点,从而也是h(x)最小值点。

所以Φ (a)=h()= 2a-aln=2

(2)当a ≤  0时,h(x)=(1/2-2a) /2x>0,h(x)在(0,+∞)递增,无最小值。

故 h(x) 的最小值Φ (a)的解析式为2a(1-ln2a) (a>o)

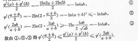
(Ⅲ)由(2)知Φ (a)=2a(1-ln2a)

对任意的

试题详情

20.(本小题满分13分)

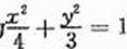
如图,椭圆C:的顶点为A1,A2,B1,B2,焦点为F1,F2, | A1B1| = ,

(Ⅰ)求椭圆C的方程;

(Ⅱ)设n是过原点的直线,l是与n垂直相交于P点、与椭圆相交于A,B两点的直线,,是否存在上述直线l使成立?若存在,求出直线l的方程;若不存在,请说明理由。

解 (Ⅰ)由a2+b2=7,    ①

a=2c,   ②

b2=a2-c2                   ③

由 ①②③解得a2=4,b2=3,

故椭圆C的方程为

(Ⅱ)设A,B两点的坐标分别为(x1,y1)(x2,y2)

假设使成立的直线l不存在,(Ⅰ)当l不垂直于x轴时,设l的方程为y=kx+m,

ln垂直相交于P点且

,即m2=k2+1.

,

=(+)(+) =+   + + =1+0+1-1=0

即X1X2+Y1Y2=0.

将y=kx+m代入椭圆方程,得

  (3+4K2)X2+8kmx+ (4m2-12)=0 有求根公式可得 x1+x2=,        x1 x2=.

 

 O= x1 x2  +  y1y2  = x1 x2 +  (kx1+m  )  (kx2+m)

  = x1 x2  +k2 x1 x2  +km(x1+x2)+m2

   =  (1+k2) x1 x2  +km (x1+x2)  +m2

将  ④  5代入上式并 化简得

(1+k2)(4m2-12)-8k2m2+m2(3+4k2)=0,

将m2=1+k2代入6并简化得-5(k2+1)=0,矛盾。

即此时直线L不存在。

()当直线L垂直于X轴 时,满足||=1的直线l的方程为x=1或x=-1.

当x=1时,ABP的坐标分别为(1,)(1.-)(1.0)

 

=(0,-)  =(0,-)

  =

当x=-1时,同理可得1,矛盾。即次直线来也不存在。

综上所述使=1直线L也不存在

试题详情

18.(本小题满分12分)

如图,在四棱锥P-ABCD中,底面ABCD是矩形,PA ⊥平面ABCD,AP=AB=2,BC=2 √ 2,E,F分别是AD,PC的重点

(Ⅰ)证明:PC ⊥平面BEF;

(Ⅱ)求平面BEF与平面BAP夹角的大小。

 解法一  (Ⅰ)如图,以A为坐标原点,AB,AD,AP算在直线分别为x,y,z轴建立空间直角坐标系。

∵AP=AB=2,BC=AD=2√ 2,四边形ABCD是矩形。

∴A,B,C,D的坐标为A(0,0,0),B(2,0,0),C(2, 2 √ 2,0),D(0,2 √ 2,0),P(0,0,2)

又E,F分别是AD,PC的中点,

∴E(0,√ 2,0),F(1,√ 2,1)。

=(2,2 √ 2,-2)=(-1,√ 2,1)=(1,0,1),

·=-2+4-2=0,·=2+0-2=0,

∴PC⊥BF,PC⊥EF,BF ∩ EF=F,

∴PC⊥平面BEF

(II)由(I)知平面BEF的法向量

平面BAP 的法向量

  设平面BEF与平面BAP的夹角为 θ ,

∴ θ=45℃, ∴ 平面BEF与平面BAP的夹角为45

解法二  (I)连接PE,EC在

PA=AB=CD, AE=DE,

∴ PE= CE, 即 △PEC 是等腰三角形,

又F是PC 的中点,∴EF⊥PC,

,F是PC 的中点,

∴BF⊥PC.

19 (本小题满分12分)

为了解学生身高情况,某校以10%的比例对全校700名学生按性别进行出样检查,测得身高情况的统计图如下:

(1)估计该小男生的人数;

(2)估计该校学生身高在170~185cm之间的概率;

(3)从样本中身高在165~180cm之间的女生中任选2人,求至少有1人身高在170~180cm之间的概率。

解 (1)样本中男生人数为40 ,由分层出样比例为10%估计全校男生人数为400。

(2)有统计图知,样本中身高在170~185cm之间的学生有14+13+4+3+1=35人,样本容量为70 ,所以样本中学生身高在170~185cm之间的频率故有f估计该校学生身高在170~180cm之间的概率

(3)样本中女生身高在165~180cm之间的人数为10,身高在170~180cm之间的人数为4。

设A表示事件“从样本中身高在165~180cm之间的女生中任选2人,求至少有1人身高在170~180cm之间”,

试题详情

17.(本小题满分12分)

   如图,A,B是海面上位于东西方向相聚5(3+)海里的两个观测点,现位于A点北偏东45°,B点北偏西60°且与B点相距海里的C点的救援船立即前往营救,其航行速度为30海里/小时,该救援船达到D点需要多长时间?

解  由题意知AB=海里,

∠ DAB=90°-60°=30°,∠ DAB=90°-45°=45°,∴∠ADB=180°-(45°+30°)=105°,在△ADB中,有正弦定理得

试题详情

16.(本小题满分12分)

已知是公差不为零的等差数列, 成等比数列.

求数列的通项;     求数列的前n项和

由题设知公差

成等比数列得

解得(舍去)

的通项

,

由等比数列前n项和公式得

试题详情

15.(考生注意:请在下列三题中任选一题作答,如果多做,则按所做的第一题评分)

A.(不等式选做题)不等式的解集为.

B.(几何证明选做题)如图,已知的两条直角边AC,BC的长分别为3cm,4cm,以AC为直径的图与AB交于点D,则.        

C.(坐标系与参数方程选做题)已知圆C的参数方程为以原点为极点,x轴正半轴为极轴建立极坐标系,直线的极坐标方程为则直线与圆C的交点的直角坐标为

试题详情


同步练习册答案