题目列表(包括答案和解析)

 0  54393  54401  54407  54411  54417  54419  54423  54429  54431  54437  54443  54447  54449  54453  54459  54461  54467  54471  54473  54477  54479  54483  54485  54487  54488  54489  54491  54492  54493  54495  54497  54501  54503  54507  54509  54513  54519  54521  54527  54531  54533  54537  54543  54549  54551  54557  54561  54563  54569  54573  54579  54587  447348 

8.若函数的图像关于直线对称,则

A.1      B.   C.     D.任意实数

试题详情

7.等比数列中,,则

A.   B.   C.   D.

试题详情

6.函数的值域为

A.    B.    C.   D.

试题详情

5.不等式的解集是

A.  B.  C.  D.

试题详情

4.若函数满足,则

A.   B.   C.2  D.0

试题详情

3.展开式中项的系数为

A.   B.720   C.120    D.

试题详情

2.若集合,则

A.   B.

C.   D.

试题详情

1.对于实数,“”是“”的

A.充分不必要条件   B.必要不充分条件

C.充要条件      D.既不充分也不必要条件

试题详情

21、(本小题满分14分)

已知函数f(x)=,g(x)=alnx,aR。

(1)    若曲线y=f(x)与曲线y=g(x)相交,且在交点处有相同的切线,求a的值及该切线的方程;

(2)    设函数h(x)=f(x)- g(x),当h(x)存在最小之时,求其最小值(a)的解析式;

(3)    对(2)中的(a),证明:当a(0,+)时, (a)1.

解 (1)f’(x)=,g’(x)=(x>0),

由已知得  =alnx,

=,   解德a=,x=e2,

两条曲线交点的坐标为(e2,e)  切线的斜率为k=f’(e2)= ,

切线的方程为y-e=(x- e2).

(1)    当a.>0时,令h (x)=0,解得x=,

所以当0 < x< h (x)<0,h(x)在(0,)上递减;

x>时,h (x)>0,h(x)在(0,)上递增。

所以x>h(x)在(0, +∞ )上的唯一极致点,且是极小值点,从而也是h(x)最小值点。

所以Φ (a)=h()= 2a-aln=2

(2)当a ≤  0时,h(x)=(1/2-2a) /2x>0,h(x)在(0,+∞)递增,无最小值。

故 h(x) 的最小值Φ (a)的解析式为2a(1-ln2a) (a>o)

(3)由(2)知Φ (a)=2a(1-ln2a)

则 Φ 1(a )=-2ln2a,令Φ 1(a )=0 解得 a =1/2

当  0<a<1/2时,Φ 1(a )>0,所以Φ (a )  在(0,1/2) 上递增

当  a>1/2  时, Φ 1(a )<0,所以Φ(a ) 在 (1/2, +∞)上递减。

所以Φ(a )在(0, +∞)处取得极大值Φ(1/2 )=1

因为Φ(a )在(0, +∞)上有且只有一个极致点,所以Φ(1/2)=1也是Φ(a)的最大值

所当a属于 (0, +∞)时,总有Φ(a) ≤ 1

试题详情

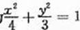
20.(本小题满分13分)

如图,椭圆C:的顶点为A1,A2,B1,B2,焦点为F1,F2, | A1B1| = ,

(Ⅰ)求椭圆C的方程;

(Ⅱ)设n是过原点的直线,l是与n垂直相交于P点、与椭圆相交于A,B两点的直线,,是否存在上述直线l使成立?若存在,求出直线l的方程;若不存在,请说明理由。

解 (1)由a2+b2=7,    ①

a=2c,   ②

b2=a2-c2                   ③

由 ①②③解得a2=4,b2=3,

故椭圆C的方程为

(2)设A,B两点的坐标分别为(x1,y1)(x2,y2)

假设使成立的直线l不存在,

(1)    当l不垂直于x轴时,设l的方程为y=kx+m,

ln垂直相交于P点且

,即m2=k2+1.

,

试题详情


同步练习册答案