题目列表(包括答案和解析)

 0  54403  54411  54417  54421  54427  54429  54433  54439  54441  54447  54453  54457  54459  54463  54469  54471  54477  54481  54483  54487  54489  54493  54495  54497  54498  54499  54501  54502  54503  54505  54507  54511  54513  54517  54519  54523  54529  54531  54537  54541  54543  54547  54553  54559  54561  54567  54571  54573  54579  54583  54589  54597  447348 

14.铁矿石A和B的含铁率a,冶炼每万吨铁矿石的的排放量b及每万吨铁矿石的价格c如下表:

 
a
b(万吨)
C(百万元)
A
50%
1
3
B
70%
0.5
6

某冶炼厂至少要生产1.9(万吨)铁,若要求的排放量不超过2(万吨),则购买铁矿石的最少费用为_15_ (百万元)

试题详情

13.从如图所示的长方形区域内任取一个点M(x,y),则点M取自阴影部分的概率为

试题详情

12. 观察下列等式:13+23=32,13+23+32=62,13+23+33+43=102,……,

根据上述规律,第五个等式为­­­­­­­­­­­ _13+23+__32__+43____+53__=212___________.

试题详情

11.已知向量α =(2,-1),b=(-1,m),c=(-1,2),若(a+b)‖c, 则m=_-1_____

试题详情

10.某学校要召开学生代表大会,规定各班每10人推选一名代表,当各班人数除以10的余数大于6时再增选一名代表。那么,各班可推选代表人数y与该班人数x之间的函数关系用取整函数y=[x]([x]表示不大于x的最大整数)可以表示为[B]

(A) y=  (B) y=    (C) y=    (D) y=

试题详情

9.对于数列{a n},“a n+1>∣a n∣(n=1,2…)”是“{a n}为递增数列”的[B]

(A) 必要不充分条件        (B) 充分不必要条件

(C) 必要条件           (D) 既不充分也不必要条件

试题详情

8.已知抛物线y2=2px(p>0)的准线与圆x2+y2-6 x-7=0相切,则p的值为[C]

(A)   (B) 1    (C) 2    (D) 4

试题详情

7. 若某空间几何体的三视图如图所示,  

则该几何体的体积是[C]

(A)       (B)         

(C) 1        (D) 2

试题详情

6.右图是求样本x 1x2,…x10平均数的程序框图,图中空白框中应填入的内容为[A]

(A) S=S+x n     (B) S=S+     

(C) S=S+ n      (D) S=S+

试题详情

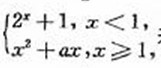
5.已知函数=,若=4a,则实数a=      (C)

(A)     (B)     (C) 2     (D)  9

试题详情


同步练习册答案