题目列表(包括答案和解析)

 0  54493  54501  54507  54511  54517  54519  54523  54529  54531  54537  54543  54547  54549  54553  54559  54561  54567  54571  54573  54577  54579  54583  54585  54587  54588  54589  54591  54592  54593  54595  54597  54601  54603  54607  54609  54613  54619  54621  54627  54631  54633  54637  54643  54649  54651  54657  54661  54663  54669  54673  54679  54687  447348 

25、(2010陕西文数)11.观察下列等式:13+23=(1+2)2,13+23+33=(1+2+3)2,13+23+33+43

(1+2+3+4)2,…,根据上述规律,第四个等式13+23+33+43+53=(1+2+3+4+5)2(或152).

解析:第i个等式左边为1到i+1的立方和,右边为1到i+1和的完全平方

所以第四个等式13+23+33+43+53=(1+2+3+4+5)2(或152).

试题详情

24、(2010浙江理数)(14)设

的最小值记为,则

其中=__________________ .

解析:本题主要考察了合情推理,利用归纳和类比进行简单的推理,属容易题

试题详情

23、(2010福建理数)3.设等差数列的前n项和为,若,,则当取最小值时,n等于

A.6          B.7         C.8         D.9

[答案]A

[解析]设该数列的公差为,则,解得

所以,所以当时,取最小值。

[命题意图]本题考查等差数列的通项公式以及前n项和公式的应用,考查二次函数最值的求法及计算能力。

试题详情

22、(2010湖北理数)7、如图,在半径为r 的园内作内接正六边形,再作正六边形的内切圆,又在此内切圆内作内接正六边形,如此无限继续下去,设为前n个圆的面积之和,则= 

A. 2   B.    C.4   D.6

试题详情

10.D

[分析]取等比数列,令代入验算,只有选项D满足。

[方法技巧]对于含有较多字母的客观题,可以取满足条件的数字代替字母,代入验证,若能排除3个选项,剩下唯一正确的就一定正确;若不能完全排除,可以取其他数字验证继续排除.本题也可以首项、公比即项数n表示代入验证得结论.

试题详情

21、(2010安徽理数)10、设是任意等比数列,它的前项和,前项和与前项和分别为,则下列等式中恒成立的是

A、            B、

C、              D、

试题详情

20、(2010山东理数)

试题详情

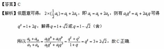
19、(2010湖北文数)7.已知等比数列{}中,各项都是正数,且成等差数列,则

A.     B.       C.      D

试题详情

18、(2010全国卷1理数)(4)已知各项均为正数的等比数列{}中,=5,=10,则=

 (A)   (B) 7   (C) 6    (D)

试题详情

4.A[命题意图]本小题主要考查等比数列的性质、指数幂的运算、根式与指数式的互化等知识,着重考查了转化与化归的数学思想.

 [解析]由等比数列的性质知10,所以,

所以

试题详情


同步练习册答案