题目列表(包括答案和解析)

 0  54343  54351  54357  54361  54367  54369  54373  54379  54381  54387  54393  54397  54399  54403  54409  54411  54417  54421  54423  54427  54429  54433  54435  54437  54438  54439  54441  54442  54443  54445  54447  54451  54453  54457  54459  54463  54469  54471  54477  54481  54483  54487  54493  54499  54501  54507  54511  54513  54519  54523  54529  54537  447348 

19.(本小题满分13分)

设函数

(I)          若当时,取得极值,求的值;

(II)        在(I)的条件下,方程恰好有三个零点,求的取值范围;

(III)       当时,解不等式

试题详情

18.(本小题满分13分)

   已知是曲线(与曲线)

的一个共点,F为曲线的焦点。

(I)          求曲线的方程

(II)        设,求当取得最小值时的曲线的另一个焦点为B,与曲线的另一个焦点为C,求AFC的面积之比。

试题详情

22.(1)

由题意,即.      …………1分

,∴数列是以为首项,t为公比的等比数列,

                                                                       …………2分

以上各式两边分别相加得,∴

时,上式也成立,∴                                  …………5分

  (2)当t=2时,

                                  …………7分

,得

,                                                    …………8分

因此n的最小值为1005.                                             …………10分

  (3)∵

,则有:

                                                                       …………13分

即函数满足条件.

试题详情

22.(本小题满分14分)

已知在数列{an}中,(t>0且t≠1).是函数的一个极值点.

  (1)证明数列是等比数列,并求数列的通项公式;

  (2)记,当t=2时,数列的前n项和为Sn,求使Sn>2008的n的最小值;

  (3)当t=2时,是否存在指数函数g(x),使得对于任意的正整数n成立?若存在,求出满足条件的一个g(x);若不存在,请说明理由.

试题详情

21.(1)由题意可知,可行域是以及点为顶点的三角形,

,∴为直角三角形,                        …………2分

∴外接圆C以原点O为圆心,线段A1A2为直径,故其方程为

∵2a=4,∴a=2.

,∴,可得

∴所求椭圆C1的方程是.                                …………6分

(2)直线PQ与圆C相切.

,则

时,,∴

时,

∴直线OQ的方程为.                               …………8分

因此,点Q的坐标为

…………10分

∴当时,

时候,,∴

综上,当时候,,故直线PQ始终与圆C相切.…………12分

试题详情

21.(本小题满分12分)

已知可行域的外接圆Cx轴交于点A1A2,椭圆C1以线段A1A2为长轴,离心率

  (1)求圆C及椭圆C1的方程;

  (2)设椭圆C1的右焦点为F,点P为圆C上异于A1A2的动点,过原点O作直线PF的垂线交直线于点Q,判断直线PQ与圆C的位置关系,并给出证明.

试题详情

20.(1)函数f(x)的定义域为

               …………3分

∴在[0,1]上,当时,单调递增;

时,单调递减.

在[0,1]上的增区间是,减区间是.(开闭均可) …………6分

(2)由,可得

.                                  …………7分

由(1)当时,

.                                          …………9分

恒成立,∴

恒成立,∴.                             

的取值范围为:                           …………12分

试题详情

20.(本小题满分12分)

已知函数

  (1)求在[0,1]上的单调区间;

  (2)若对任意,不等式,求实数a的取值范围.

试题详情

22.已知数列是首项为2,公比为的等比数列,是它的前项和.

(1) 用表示;           

  (2)是否存在自然数使得成立.

(3)令,则

∴当

∴当

单调递减,

为偶函数,当的极小值为

的图象如图所示                  

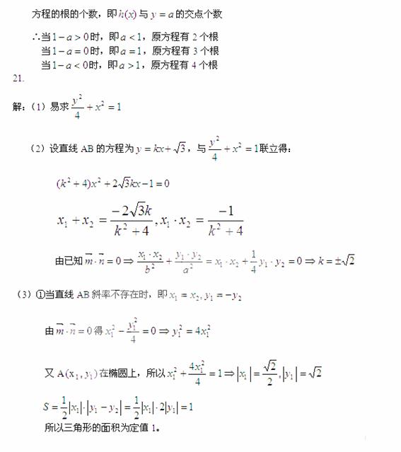
②当直线AB斜率存在时,设直线AB的方程为,与联立得:

代入得:

故不存在自然数,使成立.

试题详情

21.设是椭圆上的两点,已知

,若且椭圆的离心率,短轴长为2,O为坐标原点.

(1)求椭圆的方程;

  (2)若直线AB过椭圆的焦点(为半焦距),求直线AB的斜率的值;

  (3)试问:的面积是否为定值,如果是,请给予证明,如果不是,请说明理由.

试题详情


同步练习册答案