题目列表(包括答案和解析)

 0  54410  54418  54424  54428  54434  54436  54440  54446  54448  54454  54460  54464  54466  54470  54476  54478  54484  54488  54490  54494  54496  54500  54502  54504  54505  54506  54508  54509  54510  54512  54514  54518  54520  54524  54526  54530  54536  54538  54544  54548  54550  54554  54560  54566  54568  54574  54578  54580  54586  54590  54596  54604  447348 

12.(2010湖北文数)已知:式中变量满足的束条件则z的最大值为______。

[答案]5

[解析]同理科

(2010山东理数)

试题详情

15.①,③,⑤

[解析]令,排除②②;由,命题①正确;

,命题③正确;,命题⑤正确。

(2010浙江文数)(15)若正实数X,Y  满足2X+Y+6=XY , 则XY 的最小值是   

答案:18

(2010山东文数)(14)已知,且满足,则xy的最大值为     .

答案:3

(2010北京文数)(11)若点p(m,3)到直线的距离为4,且点p在不等式<3表示的平面区域内,则m=     

答案:-3

(2010全国卷1文数)(13)不等式的解集是        .

13. [命题意图]本小题主要考查不等式及其解法

[解析]: ,数轴标根得:

(2010全国卷1理数)(13)不等式的解集是        .

试题详情

2.(2010上海文数)不等式的解集是     

解析:考查分式不等式的解法等价于(x-2)(x+4)<0,所以-4<x<2

(2010陕西文数)14.设xy满足约束条件,则目标函数z=3xy的最大值为  5  .

解析:不等式组表示的平面区域如图所示,

当直线z=3xy过点C(2,1)时,在y轴上截距最小

此时z取得最大值5

(2010辽宁文数)(15)已知,则的取值范围是      .

(答案用区间表示)

解析:填. 利用线性规划,画出不等式组表示的平面区域,即可求解.

(2010辽宁理数)(14)已知,则的取值范围是_______(答案用区间表示)

[答案](3,8)

[命题立意]本题考查了线性规划的最值问题,考查了同学们数形结合解决问题的能力。

[解析]画出不等式组表示的可行域,在可行域内平移直线z=2x-3y,当直线经过x-y=2与x+y=4的交点A(3,1)时,目标函数有最小值z=2×3-3×1=3;当直线经过x+y=-1与x-y=3的焦点A(1,-2)时,目标函数有最大值z=2×1+3×2=8.

(2010安徽文数)(15)若,则下列不等式对一切满足条件的恒成立的是    (写出所有正确命题的编号).

;     ②;   ③

 ④;   ⑤

试题详情

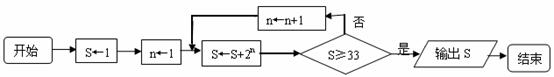
7、(2010江苏卷)右图是一个算法的流程图,则输出S的值是______▲_______

[解析]考查流程图理解。输出

试题详情

(2010山东理数)(13)执行右图所示的程序框图,若输入,则输出的值为      

[答案]

[解析]当x=10时,y=,此时|y-x|=6;

当x=4时,y=,此时|y-x|=3;当x=1时,y=,此时|y-x|=

当x=时,y=,此时|y-x|=,故输出y的值为

[命题意图]本题考查程序框图的基础知识,考查了同学们的试图能力。

(2010湖南理数)12.图2是求

的值的程序框图,则正整数    

(2010安徽理数)14、如图所示,程序框图(算法流程图)的输出值________。

14.12

[解析]

程序运行如下:

,

输出12。

[规律总结]这类问题,通常由开始一步一步运行,根据判断条件,要么几步后就会输出结果,要么就会出现规律,如周期性,等差或等比数列型.

试题详情

10.C.,解得

试题详情

10.(2010广东理数)若向量=(1,1,x), =(1,2,1),  =(1,1,1),满足条件=-2,则=     .

试题详情

12.(2010陕西文数)已知向量a=(2,-1),b=(-1,m),c=(-1,2)若(a+b)∥c,则

m  -1  .

解析:,所以m=-1

(2010江西理数)13.已知向量满足的夹角为60°,则   

[答案]  

[解析]考查向量的夹角和向量的模长公式,以及向量三角形法则、余弦定理等知识,如图,由余弦定理得:

(2010浙江文数)(17)在平行四边形ABCD中,O是AC与BD的交点,P、Q、M、N分别是线段OA、OB、OC、OD的中点,在APMC中任取一点记为E,在B、Q、N、D中任取一点记为F,设G为满足向量的点,则在上述的点G组成的集合中的点,落在平行四边形ABCD外(不含边界)的概率为   

答案:

(2010浙江文数)(13)已知平面向量的值是   

答案

(2010天津理数)(15)如图,在中,,,

,则     .

[答案]D

[解析]本题主要考查平面向量的基本运算与解三角形的基础知识,属于难题。

[解析]近几年天津卷中总可以看到平面向量的身影,且均属于中等题或难题,应加强平面向量的基本运算的训练,尤其是与三角形综合的问题。

试题详情

13.(2010上海文数)在平面直角坐标系中,双曲线的中心在原点,它的一个焦点坐标为分别是两条渐近线的方向向量。任取双曲线上的点,若(),则满足的一个等式是  4ab=1    

解析:因为是渐进线方向向量,所以双曲线渐近线方程为,又

双曲线方程为=

,化简得4ab=1

(2010浙江理数)(16)已知平面向量满足,且的夹角为120°,则的取值范围是__________________ .

解析:利用题设条件及其几何意义表示在三角形中,即可迎刃而解,本题主要考察了平面向量的四则运算及其几何意义,突出考察了对问题的转化能力和数形结合的能力,属中档题。

试题详情

15.(2010广东文数)(坐标系与参数方程选做题)在极坐标系中,曲线的交点的极坐标为    .

(2010广东文数)14.(几何证明选讲选做题)如图3,在直角

梯形ABCD中,DC∥AB,CB,AB=AD=,CD=,

点E,F分别为线段AB,AD的中点,则EF=  

解:连结DE,可知为直角三角形。则EF是斜边上的中线,等于斜边的一半,为.

试题详情


同步练习册答案