题目列表(包括答案和解析)

 0  54668  54676  54682  54686  54692  54694  54698  54704  54706  54712  54718  54722  54724  54728  54734  54736  54742  54746  54748  54752  54754  54758  54760  54762  54763  54764  54766  54767  54768  54770  54772  54776  54778  54782  54784  54788  54794  54796  54802  54806  54808  54812  54818  54824  54826  54832  54836  54838  54844  54848  54854  54862  447348 

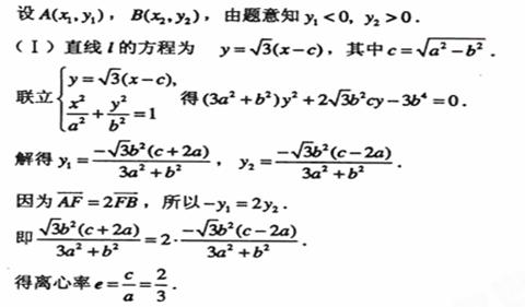
10.(全国Ⅰ新卷理20)设分别是椭圆的左、右焦点,过斜率为1的直线相交于两点,且成等差数列。

(1)求的离心率;

(2) 设点满足,求的方程

解:(I)由椭圆定义知,又,得

的方程为,其中

,则A、B两点坐标满足方程组

    化简的

因为直线AB斜率为1,所以

所以E的离心率

(II)设AB的中点为,由(I)知

,得,  即

,从而  故椭圆E的方程为

试题详情

9.(辽宁卷文20)设分别为椭圆的左右焦点,过的直线与椭圆相交于,两点,直线的倾斜角为到直线的距离为

(Ⅰ)求椭圆的焦距;

(Ⅱ)如果,求椭圆的方程。

解:(Ⅰ)设焦距为,由已知可得到直线l的距离

所以椭圆的焦距为4.                         

   (Ⅱ)设直线的方程为

   联立

   解得

   因为

   即     

   得

故椭圆的方程为  

试题详情

8.(辽宁卷理20)设椭圆C:的左焦点为F,过点F的直线与椭圆C相交于A,B两点,直线l的倾斜角为60o,.

(I)求椭圆C的离心率;

(II)如果|AB|=,求椭圆C的方程.

解析:

 

试题详情

7.(江西卷文21)已知抛物线经过椭圆的两个焦点.

(1) 求椭圆的离心率;

(2) 设,又不在轴上的两个交点,若的重心在抛物线上,求的方程.

 解:(1)因为抛物线经过椭圆的两个焦点

所以,即,由得椭圆的离心率.

(2)由(1)可知,椭圆的方程为:

  

联立抛物线的方程得:

解得:(舍去),所以

,所以的重心坐标为.

因为重心在上,所以,得.所以.

所以抛物线的方程为:

椭圆的方程为:.

试题详情

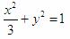
6.(江西卷理21)设椭圆,抛物线.

 (1) 若经过的两个焦点,求的离心率;

(2) 设,又不在轴上的两个交点,若的垂心为,且的重心在上,求椭圆和抛物线的方程.

[解析]考查椭圆和抛物线的定义、基本量,通过交点三角形来确认方程。

(1)由已知椭圆焦点(c,0)在抛物线上,可得:,由

(2)由题设可知M、N关于y轴对称,设,由的垂心为B,有

    由点在抛物线上,,解得:

,得重心坐标.

   由重心在抛物线上得:,又因为M、N在椭圆上得:,椭圆方程为,抛物线方程为

试题详情

5.(江苏卷18)在平面直角坐标系中,如图,已知椭圆的左右顶点为A,B,右焦点为F,设过点T()的直线TA,TB与椭圆分别交于点M,其中m>0,

①设动点P满足,求点P的轨迹

②设,求点T的坐标

③设,求证:直线MN必过x轴上的一定点(其坐标与m无关)

[解析] 本小题主要考查求简单曲线的方程,考查方直线与椭圆的方程等基础知识。考查运算求解能力和探究问题的能力。满分16分。

(1)设点P(x,y),则:F(2,0)、B(3,0)、A(-3,0)。

,得 化简得

故所求点P的轨迹为直线

(2)将分别代入椭圆方程,以及得:M(2,)、N()

直线MTA方程为:,即

直线NTB 方程为:,即

联立方程组,解得:

所以点T的坐标为

(3)点T的坐标为

直线MTA方程为:,即

直线NTB 方程为:,即

分别与椭圆联立方程组,同时考虑到

解得:

(方法一)当时,直线MN方程为:

 令,解得:。此时必过点D(1,0);

时,直线MN方程为:,与x轴交点为D(1,0)。

所以直线MN必过x轴上的一定点D(1,0)。

(方法二)若,则由,得

此时直线MN的方程为,过点D(1,0)。

,则,直线MD的斜率

直线ND的斜率,得,所以直线MN过D点。

因此,直线MN必过轴上的点(1,0)。

试题详情

4.(福建卷理17)已知中心在坐标原点的椭圆经过点,且点为其右焦点。

(Ⅰ)求椭圆的方程;

(Ⅱ)是否存在平行于的直线,使得直线与椭圆有公共点,且直线的距离等于4?若存在,求出直线的方程;若不存在,说明理由。

[命题意图]本小题主要考查直线、椭圆等基础知识,考查运算求解能力、推理论证能力,考查函数与方程思想、数形结合思想、化归与转化思想。

[解析](1)依题意,可设椭圆C的方程为,且可知左焦点为

F(-2,0),从而有,解得

,所以,故椭圆C的方程为

(2)假设存在符合题意的直线,其方程为

因为直线与椭圆有公共点,所以有,解得

另一方面,由直线OA与的距离4可得:,从而

由于,所以符合题意的直线不存在。

试题详情

3.(北京卷文19)已知椭圆C的左、右焦点坐标分别是,离心率是,直线y=t椭圆C交与不同的两点M,N,以线段MN为直径作圆P,圆心为P。

(Ⅰ)求椭圆C的方程;

(Ⅱ)若圆P与x轴相切,求圆心P的坐标;

(Ⅲ)设Q(x,y)是圆P上的动点,当t变化时,求y的最大值。

解:(Ⅰ)因为,且,所以

所以椭圆C的方程为

[命题意图]本题考查了椭圆方程、直线与圆的位置关系以及应用参数法求最值等问题.问题的设置由浅入深,符合学生的思维能力的生成过程,问题的设置也兼顾考查了应用代数的思想解决几何问题的能力.

[点评]圆锥曲线问题是每年的必考题型,其试题的难度会有所增加,但是其试题一般都是有梯度的,且此类问题的设置时基于对基础知识、基本能力的考查基础上能力的拔高.求解此类问题往往要应用到代数的方法和思想来求解,故此在平时的学习中要注意对圆锥曲线的标准方程、参数关系、基本方法、基本题型的掌握和熟练.

试题详情

2. (安徽卷文17)椭圆经过点,对称轴为坐标轴,

焦点轴上,离心率

   (Ⅰ)求椭圆的方程;

(Ⅱ)求的角平分线所在直线的方程。

[命题意图]本题考查椭圆的定义及标准方程,椭圆的简单几何性质,直线的点斜式方程与一般方程,点到直线的距离公式等基础知识;考查解析几何的基本思想、综合运算能力.

[解题指导](1)设椭圆方程为,把点代入椭圆方程,把离心率表示,再根据,求出,得椭圆方程;(2)可以设直线l上任一点坐标为,根据角平分线上的点到角两边距离相等得.

解:(Ⅰ)设椭圆E的方程为

[规律总结]对于椭圆解答题,一般都是设椭圆方程为,根据题目满足的条件求出,得椭圆方程,这一问通常比较简单;(2)对于角平分线问题,利用角平分线的几何意义,即角平分线上的点到角两边距离相等得方程

试题详情

1.(安徽卷理19文17Ⅰ,Ⅱ)已知椭圆经过点,对称轴为坐标轴,焦点轴上,离心率

 (Ⅰ)求椭圆的方程;

(Ⅱ)求的角平分线所在直线的方程;

(Ⅲ)在椭圆上是否存在关于直线对称的相异两点?若存在,请找出;若不存在,说明理由。

试题详情


同步练习册答案