题目列表(包括答案和解析)

 0  54664  54672  54678  54682  54688  54690  54694  54700  54702  54708  54714  54718  54720  54724  54730  54732  54738  54742  54744  54748  54750  54754  54756  54758  54759  54760  54762  54763  54764  54766  54768  54772  54774  54778  54780  54784  54790  54792  54798  54802  54804  54808  54814  54820  54822  54828  54832  54834  54840  54844  54850  54858  447348 

4.(重庆卷文21)已知以原点为中心,为右焦点的双曲线的离心率.

(Ⅰ)求双曲线的标准方程及其渐近线方程;

(Ⅱ)如题(21)图,已知过点的直线与过点(其中)的直线的交点在双曲线上,直线与双曲线的两条渐近线分别交于两点,求的值.

 

试题详情

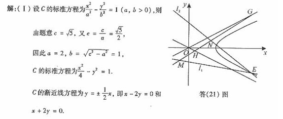
3.(重庆卷理20)已知以原点O为中心,为右焦点的双曲线C的离心率.

(Ⅰ)求双曲线C的标准方程及其渐近线方程;

(Ⅱ)如题(20)图,已知过点的直线

与过点(其中)的直线的交点

E在双曲线C上,直线MN与双曲线的两条渐近线分别交于G、H

两点,求△OGH的面积.

试题详情

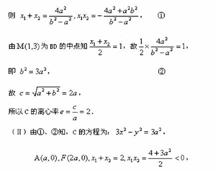
2.(全国Ⅱ卷理21文22)己知斜率为1的直线l与双曲线C:相交于B、D两点,且BD的中点为

  (Ⅰ)求C的离心率;

  (Ⅱ)设C的右顶点为A,右焦点为F,,证明:过A、B、D三点的圆与x轴相切.

[分析]本题考查了圆锥曲线、直线与圆的知识,考查学生运用所学知识解决问题的能力。

(1)由直线过点(1,3)及斜率可得直线方程,直线与双曲线交于BD两点的中点为(1,3),可利用直线与双曲线消元后根据中点坐标公式找出a,b的关系式即求得离心率。

(2)利用离心率将条件|FA||FB|=17,用含a的代数式表示,即可求得a,则A点坐标可得(1,0),由于A在x轴上所以,只要证明2AM=BD即证得。

[解析](Ⅰ)由题设知,的方程为:,代入C的方程,并化简,得,设

故不妨设

.

又  ,故 

解得,或(舍去),

连结MA,则由,从而,且轴,因此以M为圆心,MA为半径的圆经过A、B、D三点,且在点A处与轴相切,所以过A、B、D三点的圆与轴相切.

试题详情

1.(广东卷理20)一条双曲线的左、右顶点分别为A1,A2,点是双曲线上不同的两个动点。

   (1)求直线A1P与A2Q交点的轨迹E的方程式;

   (2)若过点H(0, h)(h>1)的两条直线l1和l2与轨迹E都只有一个交点,且 ,求h的值。

,即

(2)设,则由知,

代入

,即

与E只有一个交点知,,即

同理,由与E只有一个交点知,,消去,即,从而,即

试题详情

8.(上海春卷7)已知双曲线C经过点(1,1),它的一条渐近线方程为。则双曲线C的标准方程是_______________。

答案:

解析:设双曲线的方程为,将点代入可得。故答案为

试题详情

7.(天津卷文13)已知双曲线的一条渐近线方程是,它的一个焦点与抛物线的焦点相同。则双曲线的方程为       。

[答案]

[解析]由题意知,双曲线的一个焦点为(4,0),即,又因为已知双曲线的一条渐近线方程是,所以有,即,可解得,故双曲线的方程为

[命题意图]本题考查双曲线的几何性质、抛物线的几何性质、待定系数法求双曲线方程,考查运算能力以及对基础知识的熟练掌握程度。

试题详情

6.(上海卷文13)在平面直角坐标系中,双曲线的中心在原点,它的一个焦点坐标为分别是两条渐近线的方向向量。任取双曲线上的点,若(),则满足的一个等式是      。

[答案]4ab=1

解析:因为是渐进线方向向量,所以双曲线渐近线方程为,又

双曲线方程为=

,化简得4ab=1

试题详情

5.(上海卷理13)如图所示,直线x=2与双曲线的渐近线交于,两点,记,任取双曲线上的点P,若,则a、b满足的一个等式是     

[答案]  4ab=1 

解析:

=,点P在双曲线上

,化简得4ab=1

试题详情

4.(江西卷理15文15)点在双曲线的右支上,若点A到右焦点的距离等于,则=       

[答案] 2

[解析]考查圆锥曲线的基本概念和第二定义的转化,读取a=2.c=6,,

试题详情

3.(江苏卷6)在平面直角坐标系xOy中,双曲线上一点M,点M的横坐标是3,则M到双曲线右焦点的距离是___▲_______

[答案]4

 [解析]考查双曲线的定义。为点M到右准线的距离,=2,MF=4。

试题详情


同步练习册答案