题目列表(包括答案和解析)

 0  54676  54684  54690  54694  54700  54702  54706  54712  54714  54720  54726  54730  54732  54736  54742  54744  54750  54754  54756  54760  54762  54766  54768  54770  54771  54772  54774  54775  54776  54778  54780  54784  54786  54790  54792  54796  54802  54804  54810  54814  54816  54820  54826  54832  54834  54840  54844  54846  54852  54856  54862  54870  447348 

3.(湖北卷文19)已知某地今年年初拥有居民住房的总面积为a(单位:m2),其中有部分旧住房需要拆除。当地有关部门决定每年以当年年初住房面积的10%建设新住房,同事也拆除面积为b(单位:m2)的旧住房。

(Ⅰ)分别写出第一年末和第二年末的实际住房面积的表达式:

(Ⅱ)如果第五年末该地的住房面积正好比今年年初的住房面积增加了30%,则每年拆除的旧住房面积b是多少?(计算时取1.15=1.6)

试题详情

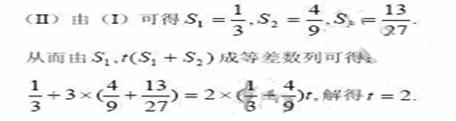
2.(福建卷文17)数列{} 中,前n项和满足- (n).

  ( I ) 求数列{}的通项公式以及前n项和

  (II)若S1, t ( S1+S2 ), 3( S2+S3 ) 成等差数列,求实数t的值。

试题详情

1.(安徽卷文21)设是坐标平面上的一列圆,它们的圆心都在轴的正半轴上,且都与直线相切,对每一个正整数,圆都与圆相互外切,以表示的半径,已知为递增数列.

(Ⅰ)证明:为等比数列;

(Ⅱ)设,求数列的前项和.

[命题意图]本题考查等比列的基本知识,利用错位相减法求和等基本方法,考察抽象概括能力以及推理论证能力.

[解题指导](1)求直线倾斜角的正弦,设的圆心为,得,同理得,结合两圆相切得圆心距与半径间的关系,得两圆半径之间的关系,即的关系,证明为等比数列;(2)利用(1)的结论求的通项公式,代入数列,然后用错位相减法求和.

[方法技巧]对于数列与几何图形相结合的问题,通常利用几何知识,并结合图形,得出关于数列相邻项之间的关系,然后根据这个递推关系,结合所求内容变形,得出通项公式或其他所求结论.对于数列求和问题,若数列的通项公式由等差与等比数列的积构成的数列时,通常是利用前n项和乘以公比,然后错位相减解决.

试题详情

1.(辽宁卷理16)已知数列满足的最小值为__________.

(三)解答题(共14题)

试题详情

2.(江西卷理5)等比数列中,=4,函数,则(  )

A.      B.        C.         D.

[答案]C

[解析]考查多项式函数的导数公式,重点考查学生创新意识,综合与灵活地应用所学的数学知识、思想和方法。考虑到求导中,含有x项均取0,则只与函数的一次项有关;得:

试题详情

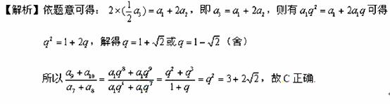
1.(湖北卷文7)已知等比数列{}中,各项都是正数,且成等差数列,则

A.       B.        C.      D

[答案]C

试题详情

2.(陕西卷文11)观察下列等式:13+23=(1+2)2,13+23+33=(1+2+3)2,13+23+33+43=1+2+3+4)2,…,根据上述规律,第四个等式为      

[答案]13+23+33+43+53=(1+2+3+4+5)2(或152).

[解析]∵所给等式左边的底数依次分别为,右边的底数依次分别为(注意:这里),∴由底数内在规律可知:第五个等式左边的底数为,右边的底数为.

又左边为立方和,右边为平方的形式,故第四个等式为13+23+33+43+53=(1+2+3+4+5)2(或152).

试题详情

1.(陕西卷理12)观察下列等式:

,根据上述规律,第五个等式为.

[答案]

[解析](方法一)∵所给等式左边的底数依次分别为,右边的底数依次分别为(注意:这里),∴由底数内在规律可知:第五个等式左边的底数为,右边的底数为.又左边为立方和,右边为平方的形式,故第五个等式为.

(方法二)∵易知第五个等式的左边为,且化简后等于,而,故易知第五个等式为.

试题详情

1.(陕西卷理9)对于数列,“a n+1>∣a n∣(n=1,2…)”是“为递增数列”的[   ]

(A) 必要不充分条件        (B) 充分不必要条件

(C) 必要条件           (D) 既不充分也不必要条件

[答案]B

[解析]当时,∵,∴,∴为递增数列.

为递增数列时,若该数列为,则由不成立,即知:不一定成立.

故综上知,“”是“为递增数列”的充分不必要条件.故选.

试题详情

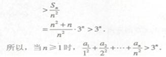
1.(全国Ⅱ卷理18)已知数列的前项和

(Ⅰ)求

(Ⅱ)证明:

[命题意图]本试题主要考查数列基本公式的运用,数列极限和数列不等式的证明,考查考生运用所学知识解决问题的能力.

[点评]2010年高考数学全国I、Ⅱ这两套试卷都将数列题前置,一改往年的将数列结合不等式放缩法问题作为押轴题的命题模式,具有让考生和一线教师重视教材和基础知识、基本方法基本技能,重视两纲的导向作用,也可看出命题人在有意识降低难度和求变的良苦用心.

估计以后的高考,对数列的考查主要涉及数列的基本公式、基本性质、递推数列、数列求和、数列极限、简单的数列不等式证明等,这种考查方式还要持续.

试题详情


同步练习册答案