题目列表(包括答案和解析)

 0  54678  54686  54692  54696  54702  54704  54708  54714  54716  54722  54728  54732  54734  54738  54744  54746  54752  54756  54758  54762  54764  54768  54770  54772  54773  54774  54776  54777  54778  54780  54782  54786  54788  54792  54794  54798  54804  54806  54812  54816  54818  54822  54828  54834  54836  54842  54846  54848  54854  54858  54864  54872  447348 

9.(山东卷文7)设是首项大于零的等比数列,则“”是“数列是递增数列”的

(A)充分而不必要条件           (B)必要而不充分条件

(C)充分必要条件             (D)既不充分也不必要条件

[答案]C

[解析]若已知,则设数列的公比为,因为,所以有,解得,所以数列是递增数列;反之,若数列是递增数列,则公比,所以,即,所以是数列是递增数列的充分必要条件。

[命题意图]本题考查等比数列及充分必要条件的基础知识,属保分题。

试题详情

8.(山东卷理9)设{an}是等比数列,则“a1<a2<a3”是数列{an}是递增数列的

(A)充分而不必要条件          (B)必要而不充分条件、

(C)充分必要条件            (D)既不充分也不必要条件

[答案]C

[解析]若已知,则设数列的公比为,因为,所以有,解得,所以数列是递增数列;反之,若数列是递增数列,则公比,所以,即,所以是数列是递增数列的充分必要条件。

[命题意图]本题考查等比数列及充分必要条件的基础知识,属保分题。

试题详情

7.(全国Ⅰ卷理4文4)已知各项均为正数的等比数列{},=5,=10,则=

 (A)     (B) 7      (C) 6     (D)

[答案]A[命题意图]本小题主要考查等比数列的性质、指数幂的运算、根式与指数式的互化等知识,着重考查了转化与化归的数学思想.

 [解析]由等比数列的性质知, 

10,所以,

所以

试题详情

6.(辽宁卷文3)设为等比数列的前项和,已知,则公比

(A)3      (B)4       (C)5        (D)6

解析:选B. 两式相减得, .

试题详情

5.(辽宁卷理6)设{an}是有正数组成的等比数列,为其前n项和。已知a2a4=1, ,则

(A)       (B)       (C)       (D)

试题详情

4.(江西卷文7)等比数列中,

A.    B.       C.      D.

[答案]A

[解析]考查等比数列的通项公式。用代特值法解决会更好。

试题详情

3.(广东卷理4文4)已知为等比数列,Sn是它的前n项和。若, 且与2的等差中项为,则=

A.35       B.33        C.31       D.29

[答案]CA

[解析]设{}的公比为,则由等比数列的性质知,,即。由与2的等差中项为知,,即

  ∴,即,即

试题详情

2.(北京卷理2)在等比数列中,,公比.若,则m=

(A)9       (B)10      (C)11     (D)12

[答案]C

[解析].解析:,因此有

试题详情

1.(安徽卷理10)设是任意等比数列,它的前项和,前项和与前项和分别为,则下列等式中恒成立的是

A、    B、

C、   D、

[答案]D

[解析]取等比数列,令代入验算,只有选项D满足。

[方法技巧]对于含有较多字母的客观题,可以取满足条件的数字代替字母,代入验证,若能排除3个选项,剩下唯一正确的就一定正确;若不能完全排除,可以取其他数字验证继续排除.本题也可以首项、公比即项数n表示代入验证得结论.

试题详情

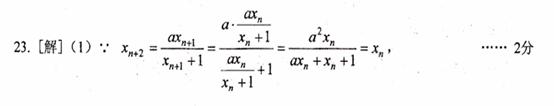
14. (上海春卷23)已知首项为的数列满足(为常数)。

(1)若对于任意的,有对于任意的都成立,求的值;

(2)当时,若,数列是递增数列还是递减数列?请说明理由;

(3)当确定后,数列由其首项确定,当时,通过对数列的探究,写出“是有穷数列”的一个真命题(不必证明)。

试题详情


同步练习册答案