题目列表(包括答案和解析)

 0  56741  56749  56755  56759  56765  56767  56771  56777  56779  56785  56791  56795  56797  56801  56807  56809  56815  56819  56821  56825  56827  56831  56833  56835  56836  56837  56839  56840  56841  56843  56845  56849  56851  56855  56857  56861  56867  56869  56875  56879  56881  56885  56891  56897  56899  56905  56909  56911  56917  56921  56927  56935  447348 

1. 在复平面内,复数(是虚数单位)对应的点位于

A.第一象限               B.第二象限   

C.第三象限               D.第四象限

试题详情

24.选修4-5:不等式选讲

已知函数

(1)求不等式的解集;

(2)若关于x的不等式恒成立,求实数的取值范围.

试题详情

23.选修4-4:坐标系与参数方程

直线(极轴与x轴的非负半轴重合,且单位长度相同)。

(1)求圆心C到直线的距离;

(2)若直线被圆C截的弦长为的值.

试题详情

22.选修4-1:几何证明选讲

如图,已知点C在圆O直径BE的延长线上,CA切圆O于A点,DC是∠ACB的平分线并交AE于点F、交AB于D点,则∠ADF=?

试题详情

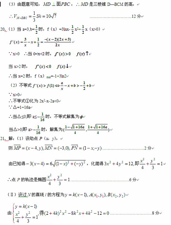
21.(本小题满分14分)已知,若动点满足

  (1)求动点的轨迹的方程;

  (2)设过点的直线交轨迹两点,若,求直线的斜率的取值范围。

试题详情

20.(本小题满分12分)设函数

(1)当时,求的最大值;

(2)求不等式的解集.

试题详情

19.(本小题满分12分)如图,已知三棱锥A-BPC中,AP⊥PC,

AC⊥BC,M为AB中点,D为PB中点,且△PMB为正三角形。

(1)求证:DM∥平面APC;

(2)求证:平面ABC⊥平面APC;

(3)若BC=4,AB=20,求三棱锥D-BCM的体积.

试题详情

18.(本题满分12分)设有关于的一元二次方程

(1)若是从四个数中任取的一个数,是从三个数中任取的一个数,求上述方程有实根的概率.

(2)若是从区间任取的一个数,是从区间任取的一个数,求上述方程有实根的概率.

试题详情

17.(本小题满分12分)已知数列的前项和为,点在函数的图象上,

(1)求数列的通项公式;

(2)设,求数列的前项和

试题详情

16.(本小题满分12分)在中,已知内角,边.设内角面积为

(1)求函数的解析式和定义域;

(2)求的最大值.

试题详情


同步练习册答案