题目列表(包括答案和解析)

 0  97176  97184  97190  97194  97200  97202  97206  97212  97214  97220  97226  97230  97232  97236  97242  97244  97250  97254  97256  97260  97262  97266  97268  97270  97271  97272  97274  97275  97276  97278  97280  97284  97286  97290  97292  97296  97302  97304  97310  97314  97316  97320  97326  97332  97334  97340  97344  97346  97352  97356  97362  97370  447348 

3.动点P到x轴,y轴的距离之比等于非零常数k,则动点P的轨迹方程是(   )

A.y=(x≠0)           B.y=kx(x≠0)

C.y=-(x≠0)          D.y=±kx(x≠0)

试题详情

2.若点M到x轴的距离和它到直线y=8的距离相等,则点M的轨迹方程是(   )

A.x=-4         B.x=4       C.y=-4         D.y=4

试题详情

1.曲线f(x,y)=0关于直线x-y-2=0时称曲线的方程为(   )

A.f(y+2,x)=0          B.f(x-2,y)=0

C.f(y+2,x-2)=0        D.f(y-2,x+2)=0

试题详情

21.设x,y分别为甲、乙二种柜的日产量,可将此题归纳为如下线性规划模型fmax=20x+24y

其中由图及下表

(x,y)
f=20x+24y
(0,10)
240
(0,0)
0
(8,0)
160
(4,8)
72

∴fmax=272

答:该公司安排甲、乙二种柜的日产量分别为4台和8台可获最大利润272元.

试题详情

20.略 解:x-7y+19=0或7x+y-17=0

试题详情

19.设过已知圆交点的圆系方程为:x2+y2-4x+2y+λ(x2+y2-2y-4)=0(λ≠-1),即(1+λ)x2+(1+λ)y2-4x+(2-2λ)y-4λ=0

圆心(-)又圆心在直线2x+4y=1上

=1,∴λ=

所求圆的方程为:x2+y2-3x+y-1=0

试题详情

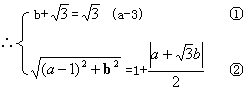
18.设直线L的方程为y=kx+b.A(x1,y1),B(x2,y2),M(x,y)由得A(, ),(k≠0)

得B(,),∴

由①②得:k=,b=  ③

∵圆C与都相切

∴圆C的半径r=.

∵AB:kx-y+b=0与圆C相切,

= ,即2k2+4kb+b2-=0  ④

将③代入④  (y2-x2)+4x(y2-x2)-2(y2-x2)=0

∵y2≠x2,∴y2-x2+4x-2=0即(x-2)2-y2=2.(y≠0)

当L⊥x轴时,线段AB的中点M(2±,0)也合上面的方程,其轨迹在∠AOB内

试题详情

17.设所求圆的圆心是C(a,b),则过m,c的直线与x+y=0垂直

由①②可得,a=0,b=-4或a=4,b=0相应半径为6和2.

∴圆的方程为:x2+(y+4)2=36或(x-4)2+y2=4.

试题详情

AA级

试题详情

21.某家俱公司生产甲、乙两种型号的组合柜,每种柜的制造白坯时间、油漆时间及有关数据如下:(10′)

工艺要求
产品甲
产品乙
生产能力/(台/天)
制白坯时间/天
6
12
120
油漆时间/天
8
4
64
单位利润/元
20
24
 

第七单元达纲检测(A级)

试题详情


同步练习册答案