0  163860  163868  163874  163878  163884  163886  163890  163896  163898  163904  163910  163914  163916  163920  163926  163928  163934  163938  163940  163944  163946  163950  163952  163954  163955  163956  163958  163959  163960  163962  163964  163968  163970  163974  163976  163980  163986  163988  163994  163998  164000  164004  164010  164016  164018  164024  164028  164030  164036  164040  164046  164054  447090 

17.(本小题满分12分)

已知,求的值.

试题详情

16.下列四个命题:

 ①若变量yx之间的相关系数r=-0.9362,查表得到相关系数临界值

 r0.05=O.8013,则变量yx之间具有线性相关关系;②若a>0,b>0,

 则不等式a3+b3≥3ab2恒成立;③对于函数f(x)=x2+mx+n,若f(a)>0,f(b)>0,

则函数f(x)在(a,b)内至多有一个零点;④y=f(x-2)和y=f(2-x)的图象关于

x=2对称.

  其中正确命题的序号有      (填上所有正确命题的序号).

试题详情

15.如图是计算的程序框图,判断框应填的内容是  

  处理框应填的内容是    

试题详情

14.已知xy满足  且z=2x+4y的最小值为-6,则常数k=      

试题详情

13.(x2-2x+1)4的展开式中x7的系数是      

试题详情

12.已知f(x)是以2为周期的偶函数,当x∈[0,1]时,f(x)=x,那么在区间[-1,3]内,关于x的方程f(x)=kx+k+1(k∈R且k≠-1)有4个根,则k的取值范围是

 (A)(-1,0)     (B)(-,0)     (C)(-,0)   (D)(-,0)

第Ⅱ卷 (非选择题  共90分)

试题详情

11.某外商计划在5个候选城市投资3个不同的项目,且在同一个城市投资的项目不超过2个,则该外商不同的投资方案有

 (A)60种      (B)70种       (C)80种     (D)120种

试题详情

10.已知a=(),b=( ),曲线a·b=1上一点MF(7,0)的距离为11,NMF的中点,O为坐标原点,则|ON|的值为

 (A)       (B)        (C)      (D)

试题详情

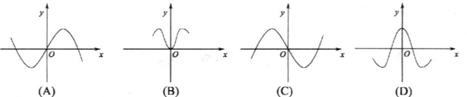
9.设曲线y=x2+1在其任一点(xy)处的切线的斜率为g(x),则函数y=g(x)cosx的部分图象可以为

试题详情

8.口袋中有5只球,编号为l,2,3,4,5,从中任取3球,以表示取出的球的最大号码,则E等于

 (A)4         (B)4.5       (C)4.75      (D)5

试题详情


同步练习册答案