题目列表(包括答案和解析)

 0  57140  57148  57154  57158  57164  57166  57170  57176  57178  57184  57190  57194  57196  57200  57206  57208  57214  57218  57220  57224  57226  57230  57232  57234  57235  57236  57238  57239  57240  57242  57244  57248  57250  57254  57256  57260  57266  57268  57274  57278  57280  57284  57290  57296  57298  57304  57308  57310  57316  57320  57326  57334  447348 

(1)已知集合A={x},B={x}},则AB=

   (A) {x}}  (B){x}  (C){x}}   (D){x}}

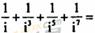
(2)i为虚数单位,

(A)0       (B)2i     (C)-2i      (D)4i

(3)已知向量a=(2,1),b=(-1,k),a·(2a-b)=0,则k

(A)-12       (B)-6     (C)6      (D)12

(4)已知命题P:n∈N,2n>1000,则p为

(A)n∈N,2n≤1000     (B)n∈N,2n>1000

 (C)n∈N,2n≤1000     (D)n∈N,2n<1000

(5)若等比数列{an}满足anan+1=16n,则公比为

(A)2       (B)4     (C)8      (D)16

(6)若函数f(x)=为奇函数,则a=

(A)     (B)      (C)        (D)1

(7)已知F是抛物线y2=x的焦点,A,B是该抛物线上的两点,,则线段AB的中点到y轴的距离为

(A)     (B)1      (C)        (D)

(8)一个正三棱柱的侧棱长和底面边长相等,体积为,它的三视图中的俯视图如右图所示,左视图是一个矩形,则这个矩形的面积是

(A)4     (B)      (C)2       (D)

(9)执行右面的程序框图,如果输入的n是4,则输出的P是

(A)  8      

(B)  5   

(C)  3    

(D)  2

(10)已知球的直径SC=4,。A.,B是该球球面上的两点,AB=2,∠ASC=∠BSC=45°,则棱锥S-ABC的体积为

(A)            (B)

(C)             (D)

(11)函数f(x)的定义域为R,f(-1)=2,对任意,f(x)>2,则f(x)>2x+4的解集为

(A)(-1,1)         (B)(-1,+      (C)(-,-1)      (D)(-,+)

(12)已知函数f(x)=Atan(),Y=f(x)的部分图像如图,则=

(A)2+          (B)

(C)              (D)

第Ⅱ卷

本卷包括必考题和选考题两部分。第13题~第21题为必考题,每个试题考生都必须作答。第22题~第24题为选考题,考生根据要求作答。

试题详情

21. 本题设有(1)、(2)、(3)三个选考题,每题7分,请考生任选2题做答,满分14分,如果多做,则按所做的前两题计分,做答时,先用2B铅笔在答题卡上把所选题目对应的题号涂黑,并将所选题号填入括号中。

(1)(本小题满分7分)选修4-2:矩阵与变换

设矩阵 (其中a>0,b>0).

(I)若a=2,b=3,求矩阵M的逆矩阵M-1

(II)若曲线C:x2+y2=1在矩阵M所对应的线性变换作用下得到曲线C’:,求a,b的值.

(2)(本小题满分7分)选修4-4:坐标系与参数方程

在直接坐标系中,直线l的方程为x-y+4=0,曲线C的参数方程为.

(I)已知在极坐标(与直角坐标系xOy取相同的长度单位,且以原点O为极点,以x轴正半轴为极轴)中,点P的极坐标为(4,),判断点P与直线l的位置关系;

(II)设点Q是曲线C上的一个动点,求它到直线l的距离的最小值.

(3)(本小题满分7分)选修4-5:不等式选讲

设不等式的解集为M.

(I)求集合M;

(II)若a,b∈M,试比较ab+1与a+b的大小.

试题详情

20.(本小题满分14分)

如图,四棱锥P-ABCD中,PA⊥底面ABCD,四边形ABCD中,AB⊥AD,AB+AD=4,CD=.

(I)求证:平面PAB⊥平面PAD;

(II)设AB=AP.

   (i)若直线PB与平面PCD所成的角为,求线段AB的长;

   (ii)在线段AD上是否存在一个点G,使得点G到点P,B,C,D的距离都相等?说明理由。

试题详情

19.(本小题满分13分)

某产品按行业生产标准分成8个等级,等级系数X依次为1,2,……,8,其中X≥5为标准A,X≥3为标准B,已知甲厂执行标准A生产该产品,产品的零售价为6元/件;乙厂执行标准B生产该产品,产品的零售价为4元/件,假定甲、乙两厂得产品都符合相应的执行标准

(I)已知甲厂产品的等级系数X1的概率分布列如下所示:

且X1的数字期望EX1=6,求a,b的值;

(II)为分析乙厂产品的等级系数X2,从该厂生产的产品中随机抽取30件,相应的等级系数组成一个样本,数据如下:

       3  5  3  3  8  5  5  6  3  4

       6  3  4  7  5  3  4  8  5  3

8  3  4  3  4  4  7  5  6  7

用这个样本的频率分布估计总体分布,将频率视为概率,求等级系数X2的数学期望.

     在(I)、(II)的条件下,若以“性价比”为判断标准,则哪个工厂的产品更具可购买性?说明理由.

注:(1)产品的“性价比”=

  (2)“性价比”大的产品更具可购买性.

试题详情

18.(本小题满分13分)

某商场销售某种商品的经验表明,该商品每日的销售量y(单位:千克)与销售价格x(单位:元/千克)满足关系式,其中3<x<6,a为常数,已知销售价格为5元/千克时,每日可售出该商品11千克。

(I)求a的值

(II)若该商品的成品为3元/千克,试确定销售价格x的值,使商场每日销售该商品所获得的利润最大。

试题详情

17.(本小题满分13分)

已知直线l:y=x+m,m∈R。

(I)若以点M(2,0)为圆心的圆与直线l相切与点P,且点P在y轴上,求该圆的方程;

(II)若直线l关于x轴对称的直线为,问直线与抛物线C:x2=4y是否相切?说明理由。

试题详情

16.(本小题满分13分)

已知等比数列{an}的公比q=3,前3项和S3=

(I)求数列{an}的通项公式;

(II)若函数处取得最大值,且最大值为a3,求函数f(x)的解析式。

试题详情

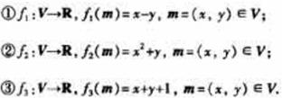
15.设V是全体平面向量构成的集合,若映射满足:对任意向量以及任意∈R,均有

则称映射f具有性质P。

先给出如下映射:

其中,具有性质P的映射的序号为________。(写出所有具有性质P的映射的序号)

试题详情

14.如图,△ABC中,AB=AC=2,BC=,点D 在BC边上,∠ADC=45°,则AD的长度等于______。

试题详情

13.何种装有形状、大小完全相同的5个球,其中红色球3个,黄色球2个。若从中随机取出2个球,则所取出的2个球颜色不同的概率等于_______。

试题详情


同步练习册答案