题目列表(包括答案和解析)

 0  57031  57039  57045  57049  57055  57057  57061  57067  57069  57075  57081  57085  57087  57091  57097  57099  57105  57109  57111  57115  57117  57121  57123  57125  57126  57127  57129  57130  57131  57133  57135  57139  57141  57145  57147  57151  57157  57159  57165  57169  57171  57175  57181  57187  57189  57195  57199  57201  57207  57211  57217  57225  447348 

5.各项都是正数的等比数列中,且成等差数列,

的值为(   )

A.   B.   C.   D.

试题详情

4.设表示中的较大者,则的最小值为(   )

A.0   B.2    C.    D.不存在

试题详情

3.若函数,下列结论中正确的是(    )

A. 函数为偶函数       B.函数最小正周期为    

 C. 函数的图象关于原点对称  D.函数的最大值为

试题详情

2.设集合,则集合等于(   )

A. B.  C.  D.

试题详情

1.复数,则在复平面内对应点位于(   )

A.第一象限   B.第二象限   C.第三象限   D.第四象限

试题详情

21.(本小题满分14分)

已知函数,当时,取得极小值.

(1)求的值;

(2)设直线,曲线.若直线与曲线同时满足下列两个条件:

①直线与曲线相切且至少有两个切点;

②对任意都有.则称直线为曲线的“上夹线”.

试证明:直线是曲线的“上夹线”.

(3)记,设是方程的实数根,若对于定义域中任意的,当,且时,问是否存在一个最小的正整数,使得恒成立,若存在请求出的值;若不存在请说明理由.

试题详情

20.(本小题满分13分)

已知抛物线的焦点为,过点作直线交抛物线两点;椭圆的中心在原点,焦点在轴上,点是它的一个顶点,且其离心率

(1)求椭圆的方程;

(2)经过两点分别作抛物线的切线,切线相交于点.证明:

(3) 椭圆上是否存在一点,经过点作抛物线的两条切线(为切点),使得直线过点?若存在,求出抛物线与切线所围成图形的面积;若不存在,试说明理由.

试题详情

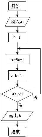
19.(本小题满分12分)

执行下面框图所描述的算法程序,记输出的一列数依次为,…,

(1)若输入,写出输出结果;

(2)若输入,求数列的通项公式;

(3)若输入,令

求常数(),使得是等比数列.

试题详情

18.(本小题满分12分)

一个几何体是由圆柱和三棱锥组合而成,点在圆的圆周上,其正(主)视图、侧(左)视图的面积分别为10和12,如图所示,其中

(1)求证:

(2)求二面角的平面角的大小.

 

试题详情

17.(本小题满分12分)

为了评估天气对大运会的影响,制定相应预案,深圳市气象局通过对最近50多年的气象数据资料的统计分析,发现8月份是本市雷电天气高峰期,在31天中平均发生雷电14.57天如图.如果用频率作为概率的估计值,并假定每一天发生雷电的概率均相等,且相互独立.

(1)求在大运会开幕(8月12日)后的前3天比赛中,恰好有2天发生雷电天气的概率(精确到0.01);

(2)设大运会期间(8月12日至23日,共12天),发生雷电天气的天数为,求的数学期望和方差.

试题详情


同步练习册答案