题目列表(包括答案和解析)

 0  52008  52016  52022  52026  52032  52034  52038  52044  52046  52052  52058  52062  52064  52068  52074  52076  52082  52086  52088  52092  52094  52098  52100  52102  52103  52104  52106  52107  52108  52110  52112  52116  52118  52122  52124  52128  52134  52136  52142  52146  52148  52152  52158  52164  52166  52172  52176  52178  52184  52188  52194  52202  447348 

1.已知集合M=,N=,则集合=(    )

A、   B、   C、   D、

试题详情

22.(本小题满分14分)已知数列{an} 满足a1an+1(n=1,2,…)

(1)求数列{an}的通项

(2)设数列{bn}满足an (bn + a1)=1,

求证:对任意,n>1,nN*,bn+1 + bn+2+…+ b2n+ b4n+1<

试题详情

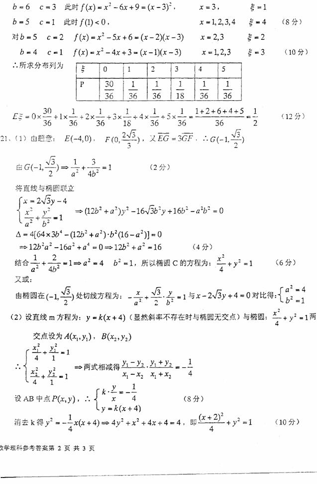
21.(本小题满分12分)已知直线lx+4=0与椭圆C (a>0,b>0)有且仅有一个公共点G,直线lx轴交于E点,直线ly轴交于F点,且

 (1)求椭圆C的方程:

   (2)若直线m绕点E旋转,且保持与(1)中所求的椭圆C相交于不同两点AB,求线段AB中点P的轨迹方程.

试题详情

20.(本小题满分12分)设bc分别是先后抛掷一枚骰子得到的点数,A={x|x2bx+3c≤0,xN*}.

   (1)求A中恰有5个元素的概率;

   (2)用随机变量ξ表示A中元素的个数,求ξ的分布列及期望:

试题详情

19.(本小题满分12分)如图,已知梯形ABB1EEB1AB和正方形BB1 C1CAC=BlCl=2,

CCl⊥平面EBlClDBBl的中点,FAB的中点,∠ACB=∠AED=90°

(1)求证CF⊥平面ABBlE;  

(2)求异面直线ACECl所成的角的大小;

(3)求二面角E-AC1-C的大小:

试题详情

18.(本小题满分12分)已知函数f(x) =ax3+bx2+cx+d(xR)在x=时取极小值-6,且函数y=f(x+)的图象关于点(-,0)对称.  

  (1)求函数f(x)的解析式:

 (2)设g(x)=10x+mx∈[-1,1],若对于任意α1∈[-1,1]总存在α 2∈[-1,1],使g(α 2)=f(α1),求实数m的取值范围;

试题详情

17.(本小题满分12分)已知函数f(x)=(4cos2x-2)(cos 2x+2sinxcosx)

(1)求 f(x)的最小正周期;

(2)在给出的直角坐标系中画出y= f(x) 在区间[-]上的简图.(要求先列表,再描点画图)

试题详情

16.以下四个关于圆锥曲线的命题中:

①平面内到定点A(1,0)和定直线l:x=2的距离之比为的点的轨迹方程是:

②点P是抛物线y2=2x上的动点,点Py轴上的射影是M,点A的坐标是A(3,6),则

  |PA|+|PM|的最小值是6;

③平面内到两定点距离之比等于常数λ(λ>0)的点的轨迹是圆;

④若过点C(1,1)的直线l交椭圆于不同的两点AB,且CAB的中点,则直线l的方程是3x+4y-7=0:

  其中真命题的序号是      (写出所有真命题的序号)

试题详情

15.已知在平面直角坐标系中O(0,0)、M(1,0)、N(1,1)、Q(2,3)动点P(xy)满足不等式1≤≤3,2 ≤≤4,则ω=的最大值为   

试题详情

14.函数y=tan2xx处的切线方程为      (结果写成直线方程的一般式)

试题详情


同步练习册答案