题目列表(包括答案和解析)

 0  52329  52337  52343  52347  52353  52355  52359  52365  52367  52373  52379  52383  52385  52389  52395  52397  52403  52407  52409  52413  52415  52419  52421  52423  52424  52425  52427  52428  52429  52431  52433  52437  52439  52443  52445  52449  52455  52457  52463  52467  52469  52473  52479  52485  52487  52493  52497  52499  52505  52509  52515  52523  447348 

16.(本小题满分12分)

如图,在△ABC中,角A、B、C的对边分别为、c,且8=7,c=,AB边上的高CM长为。                   

(1)    求的值

(2)    求△ABC的面积

试题详情

15.当时,恒成立,则实数的取值范围为      

试题详情

14.已知圆C:,一动直线l过A (-1,O)与圆C相交于P、Q两点,M为PQ中点,l与直线相交于N,则      

试题详情

13.从4双不同鞋子中取出4只鞋,其中至少有2只鞋配成一双的取法种数为      .

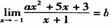
(将计算的结果用数字作答)

试题详情

12.常数满足 则=       .

试题详情

11.已知变量,满足约束条件,则的最大值为        

试题详情

10.过原点O作两条相互垂直的直线分别与椭圆P:交于A、C与B、D,则四边形ABCD面积最小值为

A、             B、            C、              D、

试题详情

9.在四面体ABCD中,三组对棱棱长分别相等且依次为,5则此四面体ABCD的外接球的半径R为

A、           B、5              C、              D、4

试题详情

8.已知平面内的四边形ABCD和该平面内任一点P满足:,那么四边形ABCD一定是

A、梯形           B、菱形            C、矩形           D、正方形

试题详情

7.在(0,)内,使成立的的取值范围为

A、[]        B、[]         C、[]       D、[]

试题详情


同步练习册答案